Resumen

¿Cómo resolver integrales con variables en exponentes en numerador y denominador?

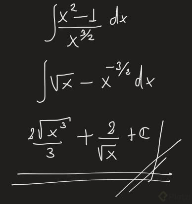
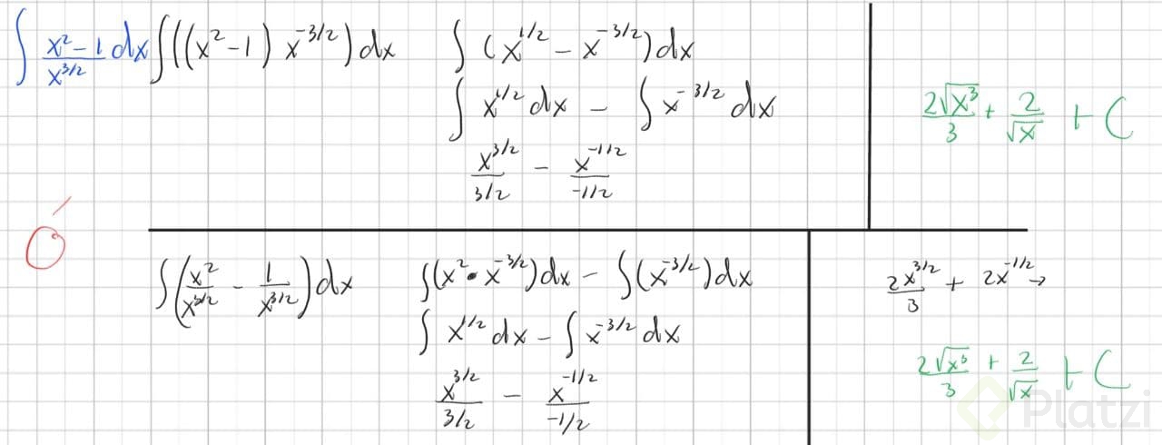
La resolución de integrales con expresiones racionales donde las variables aparecen en exponentes, tanto en el numerador como en el denominador, puede intimidar al principio. Sin embargo, a través de un enfoque sistemático y la aplicación correcta de las leyes algebraicas y de integración, se pueden simplificar enormemente estos problemas.

¿Cómo reescribimos la integral aplicando la ley distributiva?

Para comenzar a simplificar la integral, aplicamos la ley distributiva en el denominador. Esto implica reescribir la expresión inicial de forma que podamos manejarla más fácilmente. Al expresar cada término por separado y aplicarle el diferencial de X, la integral se dividirá en términos individuales:

[ \int \frac{x^2}{x^{3/2}} , dx - \int \frac{1}{x^{3/2}} , dx ]

¿Cómo llevamos los denominadores al numerador?

Para simplificar aún más la expresión y prepararla para su integración, llevamos los términos del denominador al numerador. Esto se consigue aplicando un signo negativo al exponente cuando se cambia de posición:

  • ( x^2 \cdot x^{-3/2} = x^{2 - 3/2} )
  • ( \frac{1}{x^{3/2}} = x^{-3/2} )

Reescribimos la integral con estas modificaciones:

[ \int x^{1/2} , dx - \int x^{-3/2} , dx ]

¿Cómo integramos aplicando las leyes de integración?

Una vez que la integral está en una forma más manejable, aplicamos la regla básica de integración para exponentes:

[ \int x^a , dx = \frac{x^{a+1}}{a+1} + C ]

  1. Para ( \int x^{1/2} , dx ):

    • ( a = 1/2 )
    • (\frac{x^{3/2}}{3/2} = \frac{2}{3} x^{3/2})
  2. Para ( \int x^{-3/2} , dx ):

    • ( a = -3/2 )
    • ( \frac{x^{-1/2}}{-1/2} = -2x^{-1/2} )

Aplicando estas integraciones, obtenemos:

[ \frac{2}{3} x^{3/2} + 2x^{-1/2} + C ]

¿Cómo simplificamos la solución final?

Finalmente, simplificamos y uniformamos la notación para presentar una respuesta más clara. Al resolver y ordenar, consideramos expresiones más familiares e intuitivas para representar potencias y raíces de la variable:

  1. Expresemos ( x^{-1/2} ) como una raíz:

    • ( x^{1/2} = \sqrt{x} )
  2. Resultados unificados:

    • (\frac{2}{3}\sqrt{x^3} + \frac{2}{\sqrt{x}} + C)

Así, el resultado final para la integral queda como:

[ \frac{2}{3}\sqrt{x^3} + \frac{2}{\sqrt{x}} + C ]

Este proceso de reescribir, integrar y simplificar no es solo una técnica matemática, sino un camino a la comprensión profunda del cálculo integral. Con práctica y atención al detalle, estos métodos se convertirán en una herramienta indispensable en tu repertorio matemático. ¡Sigue adelante, estudiante, el viaje del conocimiento no tiene fin!