¿Qué son algoritmos?
Clase 10 de 28 • Curso de Introducción a Machine Learning 2017
Contenido del curso
Introducción a Inteligencia Artificial
Machine Learning
Probablidiad y Estadítica
Algoritmos
- 10

¿Qué son algoritmos?
Viendo ahora - 11

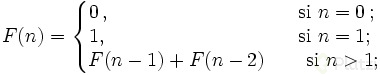
Ejercicio escrito: Secuencia de Fibonacci
00:31 min - 12

Regresión Lineal
09:15 min - 13

Ejercicio escrito: Regresión Lineal
00:20 min - 14

Regresión Logística
04:00 min - 15

Regresión Logística Multinomial
03:24 min - 16

Redes Neuronales
11:16 min - 17

Ejercicio escrito: Compuerta Logica OR
00:16 min - 18

Algoritmo K-Means
03:42 min - 19

Deep Learning (Aprendizaje Profundo)
04:57 min - 20

Problemas Frecuentes en Machine Learning
04:14 min - 21

Ejercicio escrito: Underfitting y Overfitting
00:19 min