Yo hice una calculadora muy simple de una integral 😃
Elaborando este codigo me di cuenta que solo al poner un espacio antes de %c me permitia introducir todos los valores sin mayor problema, de otra manera, se saltaría la instrucción scanf("%c", &mivariable); y termina el programa, leí al respecto acerca de los buffers que dichas funciones manejan pero me quedo poco claro, seguiré buscando por mi cuenta pero podrías resolverme a que se debe esto @ricardocelis?
#include <stdio.h>voidmain(){ int a, b, a2, b2, a2_b2; char u;printf("\n\nPrograma para calculo de integrales del tipo ∫e^au.cosbu.du\n");printf("Introduzca el coeficiente de la funcion a la que e esta elevada:\n");scanf("%d",&a);printf("Introduzca la literal de la funcion a la que e esta elevada:\n ");scanf(" %c",&u);printf("\nIntroduzca el coeficiente del angulo de cos:\n ");scanf("%d",&b); a2 = a*a; b2 = b*b; a2_b2 = a2+b2;printf("El resultado es: ((e^%d%c)/%d)%dcos%d%c+%dsen%d%c + C\n\n", a, u, a2_b2, a, b, u, b, b, u);}
code
#include <stdio.h>#include <math.h>voidmain(){/* Newton’s law of universal gravitation Program
// Example with Astronaut in orbit
*/printf("\t\t\t\t\t BIENVENIDOS\n\n");printf("Este es un programa secuencial de muestra de la \"Ley de Gravitacion Universal de Newton\" \n");printf("para calcular la fuerza de atraccion entre la Tierra y el cuerpo de un astronauta que estan \n");printf("en una orbita ecuatorial a r1 km de la superficie y que tenga una masa de m2 kg incluido \n");printf("su traje espacial.\n\n");system("pause");// Variables declaration float F,G, m1, m2, r1, r2, d;// Austranaut massprintf("Ingrese la masa del austronauta en kg, incluyendo su traje. \n");scanf("%f",&m2);system("pause");// Gravitatinal Constant GG=6.674*pow(10,-11);printf("G es la constante de gravitacion universal y vale aproximadamente 6,674 * 10 ^ -11 N m^2 kg^-2. \n\n");system("pause");// Earth mass m1 =5.974*pow(10,24);printf("La masa de la Tierra es 5,974 * 10 ^ 24 kg. \n\n");system("pause");// Earth radius r1 =6371*1000;printf("El radio de la tierra es 6,371 km. \n\n");system("pause");// Distance between the massesprintf("La distancia entre los cuerpos sera el radio de la tierra mas la distancia en la que se encuentra \n");printf("el astronauta, la cual usted ingresara en km. \n");scanf("%f",&d); r2 =(r1 + d *1000)*(r1 + d *1000);printf("La distancia al cuadrado es %g", r2);printf(" km. \n\n");system("pause");// Result in NewtonsF=(G*(m1 * m2))/ r2;printf("Haciendo los calculos, se obtiene que la fuerza gravitacional de cada uno de estos dos cuerpos \n");printf("la Tierra y el astronauta) es de %f",F);printf(" Newtons");}
Output log
BIENVENIDOSEste es un programa secuencial de muestra de la "Ley de Gravitacion Universal de Newton"para calcular la fuerza de atraccion entre la Tierra y el cuerpo de un astronauta que estan
en una orbita ecuatorial a r1 km de la superficie y que tenga una masa de m2 kg incluido
su traje espacial.Presione una tecla para continuar ...Ingrese la masa del austronauta en kg, incluyendo su traje.90Presione una tecla para continuar ...G es la constante de gravitacion universal y vale aproximadamente 6,674*10^-11N m^2 kg^-2.Presione una tecla para continuar ...La masa de la Tierra es 5,974*10^24 kg.Presione una tecla para continuar ...El radio de la tierra es 6,371 km.Presione una tecla para continuar ...La distancia entre los cuerpos sera el radio de la tierra mas la distancia en la que se encuentra
el astronauta, la cual usted ingresara en km.500La distancia al cuadrado es 4.72106e+013 km.Presione una tecla para continuar ...Haciendo los calculos, se obtiene que la fuerza gravitacional de cada uno de estos dos cuerpos
la Tierra y el astronauta) es de 760.070740Newtons
Está muy cool tu código 😮
Muchas gracias Danilo, la verdad fue uno de mis primeros códigos
Para utilizar las potencias se necesita incluir la librería :
#include<math.h>
y el comando para utilizar potencias es:
Pow(variable o numero, potencia)
#include<stdio.h>#include<math.h>//libreria para potenciavoidmain(){//Formula f= g(m1*m2)/r^2 float f,r,g,m1,m2;printf("Introduzca el valor de g: ");scanf("%f",&g );printf("Introduzca el valor de m1:\n");scanf("%f",&m1 );printf("Introduzca el valor de m2:\n");scanf("%f",&m2 );printf("Introduzca el valor de r:\n");scanf("%f",&r ); f=g*(m1*m2)/pow(r,2);//pow(variable,potecia)printf("El resultado de la función es: %f\n",f );}```
Excelente tu aporte amigo 😃
El valor de G es constante, no puede ser cambiada. G = 6.67 × 10-11 N m2 kg-2
Esperado los archivos.
Hola, ya en breve se los paso!
esperando x2
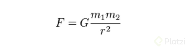
Reto formula F = G m1*m2 / r^2
#include <stdio.h>#define G6.674e-11//Constante gravitacionaldouble F, m1, m2, r;voidmain(){printf("Ingrese la masa del cuerpo 1: ");scanf("%lf",&m1);printf("Ingrese la masa del cuerpo 2: ");scanf("%lf",&m2);printf("Ingrese la distancia: ");scanf("%lf",&r);F=G*((m1 * m2)/(r * r));printf("La fuerza de atraccion gravitacional es de: %e \n",F);}
Resultado
Ingrese la masa del cuerpo 1: 5.98e24
Ingrese la masa del cuerpo 2: 7.34e22
Ingrese la distancia: 384e6
La fuerza de atraccion gravitacional es de: 1.986648e+20
no deveria pedirte el valor de G ??
Es que la formula que puso el profesor es para calcular la fuerza de atracción gravitacional, tomando eso en cuenta G es una constante en la formula. Su valor aceptado es 6.674 x 10 ^ -11
m1 = es la masa del cuerpo 1
m2 = es la masa del cuerpo 2
r= distancia entre los cuerpos
G= constante de Gravitacion.
**Nota: ** El profesor no dice que la formula sea aplicada como la fuerza de atracción gravitacional, por lo que puedes pedir todos los datos y hacer el calculo con las variables que ingreses.
Estimado Ricardo Celis como te va! queria que me indiques cual es tu curso previo al de Algoritmos con C, para aprender algoritmos muchas gracias y saludos
Hola CGonzales! Aún no lanzamos un curso previo pero lo haremos pronto, uno de sólo algoritmos =)
@CGONZALESP10 Hola! Te recomiendo el Curso gratis de Programación Básica, lo encuentras en la carrera de Fundamentos de programación 😃
En los archivos lo que hay es el programa que hiciste en el video solamente 😦
He encontrado un poco desordenado el curso, exactamente por lo mismo. poca claridad respecto al tema.
hola! una disculpa por esto, voy a revisar todo el curso en la cuestión que mencionan, gracias por avisarme =)
😃
#include <stdio.h>float g=9.81;int m1, m2, r;float F;voidmain(){printf("Por favor ingrese la masa 1:");scanf("%d",&m1);printf("Por favor ingrese la masa 2:");scanf("%d",&m2);printf("Por favor ingrese la distancia");scanf("%d",&r);F=(g*(m1*m2))/(r*r);printf("El valor de la fuerza sera: %f Newtons",F);}```
Me podrían ayudar a indicarme como hago para que el resultado se imprima como notación científica?
Hola Mike, la funcion printf tiene muchas maneras de imprimir texto y numeros en pantalla. En caso que quieras imprimir numeros en notacion cientifica podrias usar por ejemplo printf("%.10e"); para imprimir hasta 10 digitos despues del punto decimal. Te dejo un link para que puedas como manipular el texto usando la funcion printf() espero te sirva 😃
Muchas gracias BitCharlie… lo pondré en práctica
La estructura secuencial es aquella en la que una acción (instrucción) sigue a otra en secuencia. Las tareas se suceden de tal modo que la salida de una es la entrada de la siguiente y así sucesivamente hasta el fin del proceso.
Perfecto la explicación Ricardo!. Cuando nos puedes enviar la imagen con la función de practica?
hola! esta semana queda =)
doce días después seguimos esperando
Saludos a todos mi solución al ejercicio es la siguiente.
#include<stdio.h>#define G9.8voidmain(){float m1, m2, r, mt, rt, f;printf("Ingrese el valor de la masa 1: ");scanf("%f",&m1);printf("ingrese el valor de la masa 2: ");scanf("%f",&m2);printf("Ingrese el valor del radio: ");scanf("%f",&r); mt = m1 * m2; rt = r * r; f =G*(mt/rt);printf("El valor de la fuerza es igual a: %f\n", f);}
Una pregunta
esta formula la hemos dado anteriormente??
<code>
Hola Tono2! No se ve el código, parece que sólo se copió una línea, porfa avísame cuando lo subas completo y lo revisamos
Una pregunta…
Cuándo es bueno usar #define y cuándo simplemente declarar la variable con float, int o char?
El #define se usa en constantes, es decir en cosas que no van a cambiar durante el programa y las variables que se definen como int, float, char etc. pueden ir cambiando durante la ejecución del programa
Muchas gracias @MarcoEchave.
Tienes Razón :3
Saludos =)
code:
output:
#include <stdio.h>#include <math.h>#define g 5float m1, m2, f, v, r;voidmain(){printf("Introduzca el valor de m1:");scanf("%f",&m1);printf("Introduzca el valor de m2:");scanf("%f",&m2);printf("Introduzca el valor de r:");scanf("%f",&r); v=pow(r,2); f=(g * m1* m2)/v;printf("El valor de f es%f\n", f);}```
#include <stdio.h>
#include <math.h>
void main()
{
// La formula f=g(m1*m2)/r^2
float f;
float r;
float g;
float m1;
float m2;
printf(“Introduzca el valor de g:\n”);
scanf("%f",&g );
printf(“Introduzca el valor de m1:\n”);
scanf("%f",&m1 );
printf(“Introduzca el valor de m2:\n”);
scanf("%f",&m2 );
printf(“Introduzca el valor de r:\n”);
scanf("%f",&r );
//pow(variable, potencia)
f=g*(m1*m2)/pow(r,2);
printf(“El resultado de la función es: %f\n”, f );
}
PS E:\Documents\ALGORITMOC> gcc secuReto.c -o reto
PS E:\Documents\ALGORITMOC> .\reto
Introduzca el valor de g:
6
Introduzca el valor de m1:
5
Introduzca el valor de m2:
4
Introduzca el valor de r:
8
El resultado de la funci├│n es: 1.875000
PS E:\Documents\ALGORITMOC>
Mi reto 😄
El mejor curso, ya quiero más
#include <stdio.h>#include <math.h>#define G6.674float m1;float m2;float r;float F;voidmain(){printf("Ingresa el valor de la masa del cuerpo 1 \n");scanf("%f",&m1);printf("Ingresa el valor de la masa del cuerpo 2 \n");scanf("%f",&m2);printf("Ingresa el valor del vector de posicion \n");scanf("%f",&r);F=G*((m1*m2)/pow(r,2));printf("El valor de la fuerza gravitacional es: %f\n",F);}
He de admitir que tuve que buscar un poco como se hacía la operación de elevar a la potencia cuadrada de un número. Ya que si bajo y miro en la sección de aportes, mayormente me encuentro con cada uno ya exponiendo sus soluciones. Y en cierta forma como que siento mas gratificación cuando encuentro la solución por cuenta propia que mirar y copiar código ajenos! Simplemente mi opinión. Por lo demás, el curso está genial!
Reto
#include <stdio.h>#include <math.h>int g, m1, m2;float r;float f;voidmain(){printf("Escribe el valor de g y presiona enter\n");scanf("%d",&g);printf("Escribe el valor de m1 y presiona enter\n");scanf("%d",&m1);printf("Escribe el valor de m2 y presiona enter\n");scanf("%d",&m2);printf("Escribe el valor de r y presiona enter\n");scanf("%f",&r);f = g *(m1*m2)/pow(r,2);printf("El resultado de la operacion es: %.2f", f);}
Muchas gracias por el feedback! Y espero que sigas aprendiendo mucho 😃!
En la imagen que está en el ejemplo para realizar, es un los “m” son m a la 1 y m a la 2, o m1 y m2?