CursosEmpresasBlogLiveConfPrecios

Preparar datos para clusterizar

Clase 19 de 27 • Curso de Clustering con Python y scikit-learn

Contenido del curso

Fundamentos de clustering

  • 1
    ¿Qué es el clustering en machine learning?

    ¿Qué es el clustering en machine learning?

    04:01 min
  • 2
    Tu primer clustering con scikit-learn

    Tu primer clustering con scikit-learn

    16:57 min
  • 3
    ¿Cuándo usar clustering?

    ¿Cuándo usar clustering?

    05:00 min
  • 4
    ¿Cómo evaluar modelos de clustering?

    ¿Cómo evaluar modelos de clustering?

    12:00 min

K-means

  • 5
    ¿Qué es el algoritmo de K-means y cómo funciona?

    ¿Qué es el algoritmo de K-means y cómo funciona?

    07:30 min
  • 6
    ¿Cuándo usar K-means?

    ¿Cuándo usar K-means?

    03:24 min
  • 7
    Implementando K-means

    Implementando K-means

    14:08 min
  • 8
    Encontrando K

    Encontrando K

    13:06 min
  • 9
    Evaluando resultados de K-means

    Evaluando resultados de K-means

    04:21 min

Hierarchical clustering

  • 10
    ¿Qué es hierarchical clustering y cómo funciona?

    ¿Qué es hierarchical clustering y cómo funciona?

    04:56 min
  • 11
    ¿Cuándo usar hierarchical clustering?

    ¿Cuándo usar hierarchical clustering?

    02:07 min
  • 12
    Implementando hierarchical clustering

    Implementando hierarchical clustering

    09:40 min
  • 13
    Evaluando resultados de hierarchical clustering

    Evaluando resultados de hierarchical clustering

    06:44 min

DBSCAN

  • 14
    ¿Qué es DBSCAN y cómo funciona?

    ¿Qué es DBSCAN y cómo funciona?

    08:27 min
  • 15
    ¿Cuándo usar DBSCAN?

    ¿Cuándo usar DBSCAN?

    02:28 min
  • 16
    Implementando DBSCAN

    Implementando DBSCAN

    09:11 min
  • 17
    Encontrar híper-parámetros

    Encontrar híper-parámetros

    14:33 min
  • 18
    Evaluando resultados de DBSCAN

    Evaluando resultados de DBSCAN

    07:35 min

Proyecto: resolviendo un problema con clustering

  • 19
    Preparar datos para clusterizar

    Preparar datos para clusterizar

    Viendo ahora
  • 20
    Aplicando PCA para clustering

    Aplicando PCA para clustering

    12:08 min
  • 21
    Resolviendo con K-means

    Resolviendo con K-means

    09:24 min
  • 22
    Resolviendo con hierarchical clustering

    Resolviendo con hierarchical clustering

    07:12 min
  • 23
    Resolviendo con DBSCAN

    Resolviendo con DBSCAN

    17:25 min
  • 24
    Resolviendo con DBSCAN (sin PCA)

    Resolviendo con DBSCAN (sin PCA)

    05:24 min
  • 25
    Evaluación resultados de distintos modelos de clustering

    Evaluación resultados de distintos modelos de clustering

    10:47 min

Conclusiones

  • 26
    Proyecto final y cierre

    Proyecto final y cierre

    02:32 min
  • 27
    Comparte tu proyecto de segmentación con clustering y certifícate

    Comparte tu proyecto de segmentación con clustering y certifícate

Tomar examen

Escuelas

  • Desarrollo Web
    • Fundamentos del Desarrollo Web Profesional
    • Diseño y Desarrollo Frontend
    • Desarrollo Frontend con JavaScript
    • Desarrollo Frontend con Vue.js
    • Desarrollo Frontend con Angular
    • Desarrollo Frontend con React.js
    • Desarrollo Backend con Node.js
    • Desarrollo Backend con Python
    • Desarrollo Backend con Java
    • Desarrollo Backend con PHP
    • Desarrollo Backend con Ruby
    • Bases de Datos para Web
    • Seguridad Web & API
    • Testing Automatizado y QA para Web
    • Arquitecturas Web Modernas y Escalabilidad
    • DevOps y Cloud para Desarrolladores Web
  • English Academy
    • Inglés Básico A1
    • Inglés Básico A2
    • Inglés Intermedio B1
    • Inglés Intermedio Alto B2
    • Inglés Avanzado C1
    • Inglés para Propósitos Específicos
    • Inglés de Negocios
  • Marketing Digital
    • Fundamentos de Marketing Digital
    • Marketing de Contenidos y Redacción Persuasiva
    • SEO y Posicionamiento Web
    • Social Media Marketing y Community Management
    • Publicidad Digital y Paid Media
    • Analítica Digital y Optimización (CRO)
    • Estrategia de Marketing y Growth
    • Marketing de Marca y Comunicación Estratégica
    • Marketing para E-commerce
    • Marketing B2B
    • Inteligencia Artificial Aplicada al Marketing
    • Automatización del Marketing
    • Marca Personal y Marketing Freelance
    • Ventas y Experiencia del Cliente
    • Creación de Contenido para Redes Sociales
  • Inteligencia Artificial y Data Science
    • Fundamentos de Data Science y AI
    • Análisis y Visualización de Datos
    • Machine Learning y Deep Learning
    • Data Engineer
    • Inteligencia Artificial para la Productividad
    • Desarrollo de Aplicaciones con IA
    • AI Software Engineer
  • Ciberseguridad
    • Fundamentos de Ciberseguridad
    • Hacking Ético y Pentesting (Red Team)
    • Análisis de Malware e Ingeniería Forense
    • Seguridad Defensiva y Cumplimiento (Blue Team)
    • Ciberseguridad Estratégica
  • Liderazgo y Habilidades Blandas
    • Fundamentos de Habilidades Profesionales
    • Liderazgo y Gestión de Equipos
    • Comunicación Avanzada y Oratoria
    • Negociación y Resolución de Conflictos
    • Inteligencia Emocional y Autogestión
    • Productividad y Herramientas Digitales
    • Gestión de Proyectos y Metodologías Ágiles
    • Desarrollo de Carrera y Marca Personal
    • Diversidad, Inclusión y Entorno Laboral Saludable
    • Filosofía y Estrategia para Líderes
  • Diseño de Producto y UX
    • Fundamentos de Diseño UX/UI
    • Investigación de Usuarios (UX Research)
    • Arquitectura de Información y Usabilidad
    • Diseño de Interfaces y Prototipado (UI Design)
    • Sistemas de Diseño y DesignOps
    • Redacción UX (UX Writing)
    • Creatividad e Innovación en Diseño
    • Diseño Accesible e Inclusivo
    • Diseño Asistido por Inteligencia Artificial
    • Gestión de Producto y Liderazgo en Diseño
    • Diseño de Interacciones Emergentes (VUI/VR)
    • Desarrollo Web para Diseñadores
    • Diseño y Prototipado No-Code
  • Contenido Audiovisual
    • Fundamentos de Producción Audiovisual
    • Producción de Video para Plataformas Digitales
    • Producción de Audio y Podcast
    • Fotografía y Diseño Gráfico para Contenido Digital
    • Motion Graphics y Animación
    • Contenido Interactivo y Realidad Aumentada
    • Estrategia, Marketing y Monetización de Contenidos
  • Desarrollo Móvil
    • Fundamentos de Desarrollo Móvil
    • Desarrollo Nativo Android con Kotlin
    • Desarrollo Nativo iOS con Swift
    • Desarrollo Multiplataforma con React Native
    • Desarrollo Multiplataforma con Flutter
    • Arquitectura y Patrones de Diseño Móvil
    • Integración de APIs y Persistencia Móvil
    • Testing y Despliegue en Móvil
    • Diseño UX/UI para Móviles
  • Diseño Gráfico y Arte Digital
    • Fundamentos del Diseño Gráfico y Digital
    • Diseño de Identidad Visual y Branding
    • Ilustración Digital y Arte Conceptual
    • Diseño Editorial y de Empaques
    • Motion Graphics y Animación 3D
    • Diseño Gráfico Asistido por Inteligencia Artificial
    • Creatividad e Innovación en Diseño
  • Programación
    • Fundamentos de Programación e Ingeniería de Software
    • Herramientas de IA para el trabajo
    • Matemáticas para Programación
    • Programación con Python
    • Programación con JavaScript
    • Programación con TypeScript
    • Programación Orientada a Objetos con Java
    • Desarrollo con C# y .NET
    • Programación con PHP
    • Programación con Go y Rust
    • Programación Móvil con Swift y Kotlin
    • Programación con C y C++
    • Administración Básica de Servidores Linux
  • Negocios
    • Fundamentos de Negocios y Emprendimiento
    • Estrategia y Crecimiento Empresarial
    • Finanzas Personales y Corporativas
    • Inversión en Mercados Financieros
    • Ventas, CRM y Experiencia del Cliente
    • Operaciones, Logística y E-commerce
    • Gestión de Proyectos y Metodologías Ágiles
    • Aspectos Legales y Cumplimiento
    • Habilidades Directivas y Crecimiento Profesional
    • Diversidad e Inclusión en el Entorno Laboral
    • Herramientas Digitales y Automatización para Negocios
  • Blockchain y Web3
    • Fundamentos de Blockchain y Web3
    • Desarrollo de Smart Contracts y dApps
    • Finanzas Descentralizadas (DeFi)
    • NFTs y Economía de Creadores
    • Seguridad Blockchain
    • Ecosistemas Blockchain Alternativos (No-EVM)
    • Producto, Marketing y Legal en Web3
  • Recursos Humanos
    • Fundamentos y Cultura Organizacional en RRHH
    • Atracción y Selección de Talento
    • Cultura y Employee Experience
    • Gestión y Desarrollo de Talento
    • Desarrollo y Evaluación de Liderazgo
    • Diversidad, Equidad e Inclusión
    • AI y Automatización en Recursos Humanos
    • Tecnología y Automatización en RRHH
  • Finanzas e Inversiones
    • Fundamentos de Finanzas Personales y Corporativas
    • Análisis y Valoración Financiera
    • Inversión y Mercados de Capitales
    • Finanzas Descentralizadas (DeFi) y Criptoactivos
    • Finanzas y Estrategia para Startups
    • Inteligencia Artificial Aplicada a Finanzas
    • Domina Excel
    • Financial Analyst
    • Conseguir trabajo en Finanzas e Inversiones
  • Startups
    • Fundamentos y Validación de Ideas
    • Estrategia de Negocio y Product-Market Fit
    • Desarrollo de Producto y Operaciones Lean
    • Finanzas, Legal y Fundraising
    • Marketing, Ventas y Growth para Startups
    • Cultura, Talento y Liderazgo
    • Finanzas y Operaciones en Ecommerce
    • Startups Web3 y Blockchain
    • Startups con Impacto Social
    • Expansión y Ecosistema Startup
  • Cloud Computing y DevOps
    • Fundamentos de Cloud y DevOps
    • Administración de Servidores Linux
    • Contenerización y Orquestación
    • Infraestructura como Código (IaC) y CI/CD
    • Amazon Web Services
    • Microsoft Azure
    • Serverless y Observabilidad
    • Certificaciones Cloud (Preparación)
    • Plataforma Cloud GCP

Platzi y comunidad

  • Platzi Business
  • Live Classes
  • Lanzamientos
  • Executive Program
  • Trabaja con nosotros
  • Podcast

Recursos

  • Manual de Marca

Soporte

  • Preguntas Frecuentes
  • Contáctanos

Legal

  • Términos y Condiciones
  • Privacidad
  • Tyc promociones
Reconocimientos
Reconocimientos
Logo reconocimientoTop 40 Mejores EdTech del mundo · 2024
Logo reconocimientoPrimera Startup Latina admitida en YC · 2014
Logo reconocimientoPrimera Startup EdTech · 2018
Logo reconocimientoCEO Ganador Medalla por la Educación T4 & HP · 2024
Logo reconocimientoCEO Mejor Emprendedor del año · 2024
De LATAM conpara el mundo
YoutubeInstagramLinkedInTikTokFacebookX (Twitter)Threads

      Comentarios

      Rafael Rivera

      Rafael Rivera

      student•
      hace 3 años
        Sebastian Gaviria

        Sebastian Gaviria

        student•
        hace 3 años
      Leandro Tenjo

      Leandro Tenjo

      student•
      hace 2 años
      Fernando Jesús Núñez Valdez

      Fernando Jesús Núñez Valdez

      student•
      hace 3 años
        Jovanny Delgado

        Jovanny Delgado

        student•
        hace 3 años
        Julián Cárdenas

        Julián Cárdenas

        student•
        hace 2 años
      Sebastian Gaviria

      Sebastian Gaviria

      student•
      hace 3 años
        RENÉ CARDOSO

        RENÉ CARDOSO

        student•
        hace un año
      Jhonatan Smith Garcia Muñoz

      Jhonatan Smith Garcia Muñoz

      student•
      hace 3 años
      Andres Sanchez

      Andres Sanchez

      student•
      hace 3 años
      David Felipe Zabala Castañeda

      David Felipe Zabala Castañeda

      student•
      hace 7 meses
        Emilio José Chaparro Barrera

        Emilio José Chaparro Barrera

        student•
        hace 3 meses
        •
        editado
      Rubén Darío Albarracin Caro

      Rubén Darío Albarracin Caro

      student•
      hace 2 años
      Santiago Ahumada Lozano

      Santiago Ahumada Lozano

      student•
      hace 3 años
        Julián Cárdenas

        Julián Cárdenas

        student•
        hace 2 años
      Juan Acevedo

      Juan Acevedo

      student•
      hace 8 meses
      Mario Alexander Vargas Celis

      Mario Alexander Vargas Celis

      student•
      hace 9 meses
      Jhon David Vanegas Guerrero

      Jhon David Vanegas Guerrero

      student•
      hace 3 años
      Daniel Andres Rojas Paredes

      Daniel Andres Rojas Paredes

      student•
      hace un año
      Andres Montes

      Andres Montes

      student•
      hace un año
      Mariano Castelli

      Mariano Castelli

      student•
      hace 2 años
      Juan Felipe Zárate

      Juan Felipe Zárate

      student•
      hace 2 años
      Angel Martínez

      Angel Martínez

      student•
      hace 2 años
      Felix Gonzales

      Felix Gonzales

      student•
      hace 2 años
      Federico Arias

      Federico Arias

      student•
      hace 2 años
      Juan José Mamani Tarqui

      Juan José Mamani Tarqui

      student•
      hace 2 años

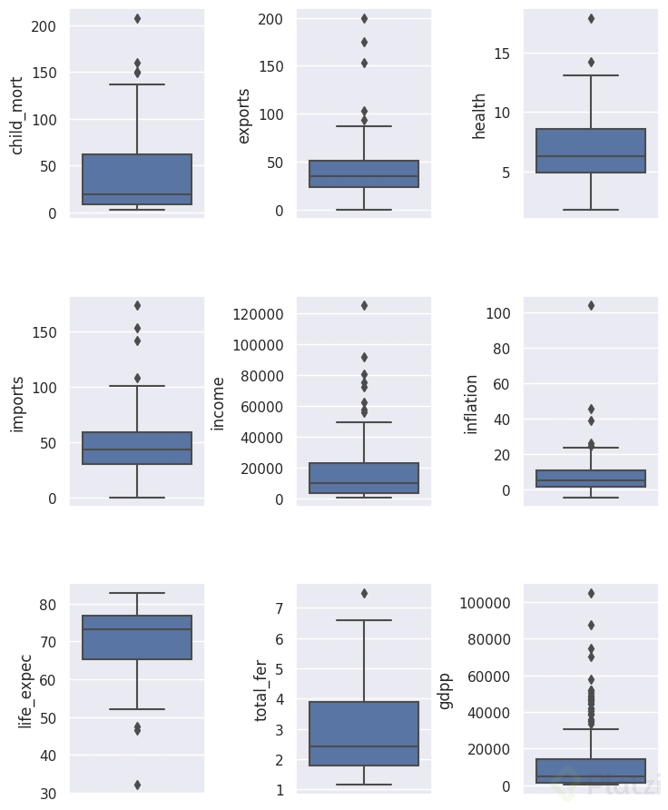
      Dejo por acá este codigo para visualizar mejor los boxplot:

      import matplotlib.pyplot as plt import seaborn as sns int_cols = df_country.select_dtypes(exclude='object').columns num_plots = len(int_cols) rows = 3 # Número de filas deseadas cols = num_plots // rows + (num_plots % rows > 0) # Número de columnas deseadas fig, axes = plt.subplots(rows, cols, figsize=(15, 15)) # Ajusta el tamaño de la figura según tus necesidades for i, col in enumerate(int_cols): ax = axes[i // cols, i % cols] if rows > 1 else axes[i % cols] # Obtén el eje correspondiente sns.boxplot(data=df_country, y=col, ax=ax) ax.set_title(col) # Opcional: establece el título de cada gráfico plt.tight_layout() # Ajusta el espaciado entre los gráficos plt.show()
      boxplot.png

      Muy buen aporte!

      📊 Otra forma de ver los subplots:

      num_cols = df.select_dtypes(exclude='object').columns fig, axs = plt.subplots(3, 3, figsize=(8, 10)) plt.tight_layout(pad=3) for i, ax in enumerate(axs.flat): sns.boxplot(data=df, y=num_cols[i], ax=ax)

      Para mostrar los países ordenados de mayor inflación a menor.

      df_country.sort_values('inflation', ascending=False)

      La inflación es la de Nigeria que pasa de 100

      Gracias!!

      Si están trabajando con Visual Studio Code y les sale un Future warning, se corrige de la siguiente manera:

      fig = plt.figure(figsize=(15,10)) numeric_corr = df_country.corr(numeric_only=True) sns.heatmap(numeric_corr, annot=True, cmap='coolwarm') plt.show()

      Gracias!!!

      Que metodologia deberia usarse cuando quiero crear clster con variables categoricas?

      Digamos quiero segmentar clientes por sexo, tipo de pago, salario y tipo de credito. Que segmentacion se puede hacer?

      Reto:

      highest_inflation = df_country['inflation'].max() country_with_highest_inflation = df_country.loc[df_country['inflation'].idxmax(), 'country'] print("The highest inflation value is:", highest_inflation) print("The country with the highest inflation is:", country_with_highest_inflation)

      Siento que un error en los cursos precisamente es normalizar variables altamente correlacionadas cuando se conoce que pueden impactar seriamente el rendimiento de los modelos. Ademas, los datos se deben dividr en entrenamiento y validacin antes de escalar. Es un error escalar toda la data. Lo ideal es hacer el fit_transform del scaler con entrenamiento y luego el transform al test.

      Exacto, recomiendo leer un artículo de IBM: What is data leakage in machine learning? y me quedo con una frase del artículo relacionada a lo que comenta David.

      "Preprocessing steps such as scaling, imputation or feature selection should be fitted only on the training data and then applied to the validation set, rather than fitting them on the entire dataset before splitting. Misapplying transformers such as scaling or normalization can lead to train-test contamination, especially in neural network models. When these improperly executed preprocessing steps are performed over the whole dataset, it leads to biased predictions and an unrealistic sense of the model's performance."

      Para poder visualizar el heatmap debí usar el siguiente código: # Seleccionar solo las columnas numéricas df_numeric = df_country.select_dtypes(include=['float64', 'int64'])

      # Crear el mapa de calor solo con las columnas numéricas fig = plt.figure(figsize=(15,10)) sns.heatmap(df_numeric.corr(), annot=True, cmap='coolwarm') plt.show()

      Con una inflación de 104, Nigeria es el país con mayor inflación.

      max_inflation_data = df[df['inflation']==np.max(df['inflation'])] max_inflation_country = max_inflation_data['country'] print(max_inflation_country)

      Y con una inflación de -4.21, Seychelles(Archipielago situado en África occidental) es el país con menor inflación.

      min_inflation_data = df[df['inflation']==np.min(df['inflation'])] min_inflation_country = min_inflation_data['country'] print(min_inflation_country)

      Así es!!

      Preparar los datos adecuadamente es clave para obtener buenos resultados de clustering. Aquí tienes una guía paso a paso para preparar tus datos antes de aplicar algoritmos como K-means, DBSCAN o Hierarchical Clustering:

      🧹 1. Cargar y explorar los datos

      import pandas as pd

      df = pd.read_csv("tu_archivo.csv") # o usa otro método de carga print(df.head()) print(df.info())

      🔍 2. Seleccionar las columnas relevantes

      El clustering se basa en distancias, por lo tanto, es importante seleccionar solo las características numéricas (o convertir las categóricas).

      features = df[['columna1', 'columna2', 'columna3']] # ajusta según tu dataset

      🧼 3. Limpiar datos

      • Eliminar nulos o imputar valores
      • Eliminar duplicados si es necesario

      features = features.dropna() features = features.drop_duplicates()

      🧮 4. Escalar los datos (muy importante)

      Los algoritmos de clustering dependen de la escala de los datos. Se recomienda usar StandardScaler o MinMaxScaler.

      from sklearn.preprocessing import StandardScaler

      scaler = StandardScaler() X_scaled = scaler.fit_transform(features)

      ✅ 5. (Opcional) Reducir dimensiones para visualizar

      Si tienes más de 2 dimensiones, puedes usar PCA o t-SNE para reducir a 2D y visualizar los clústeres.

      from sklearn.decomposition import PCA

      pca = PCA(n_components=2) X_pca = pca.fit_transform(X_scaled)

      📦 Resultado final listo para clusterizar

      Ahora X_scaled (o X_pca) está listo para pasar a:

      • KMeans().fit(X_scaled)
      • DBSCAN().fit(X_scaled)
      • AgglomerativeClustering().fit(X_scaled)

      Hola, alguien tiene alguna idea sobre como preparar una data de artículos científicos, para poder realizar un aprendizaje no supervisado y saber cuales son los temas relevantes con respecto al uso de machine learning en la industria por ejemplo?

      como está relacionado dbscan con kneaest neigthbors

      codigo para encontrar el pais con maYor inflacion

      condicion = df['inflation'].max() df[df['inflation'] == condicion]

      Reto:

      df[df.inflation > 100]

      Hola a todos. ¿alguien sabe porqué si yo quiero mostrar cuál es el valor MÍNIMO de inflación con su respectivo país, aparece un valor de 133 y Seychelles -como país-?

      Usé esté código:

      # ahora, busquemos cuál es el país que se sale de la media, pero con menos inflación

      lowest_inflation = df_country['inflation'].idxmin()

      country_wiht_lowest_inflation = df_country.loc[df_country['inflation'].idxmin(), 'country']

      print(f"El país que está por fuera de la media es {country_wiht_lowest_inflation},con un valor de: {lowest_inflation}.")

      Por si no quieren crearse una cuenta en Kaggle y descargar los datos, los pueden leer desde remoto, usando:

      df_country = pd.read_csv('https://raw.githubusercontent.com/GOWTHAMJEEVANANTHAM/Unsupervised-Learning-on-Country-Data/main/Country-data.csv')
      int_cols = df.select_dtypes(exclude='object').columns num_plots = len(int_cols) rows = 3 # Número de filas deseadas # Aqui se calcula el numero de columnas a partir de "rows". # Para divirdir num_plots y rows, se hace lo que es la division entera "//", todo esto para que nos el numero entero que necesita el grafico. # (num_plots % rows > 0) si tiene un resto mayor a 0 indica que necesitas de una columna extra para tus graficos, si sale exacto no necesita. # En este caso es 9 / 3 = 3.33 es decir 3, si se llegase a colocar 2, entonces seria 4.5 es decir 4 y en 2 filas seria 8 graficos, lo cual # Se tendria que aumentar una columna demas. cols = num_plots // rows + (num_plots % rows > 0) # Aca esta iterando "_" sobre "int_cols", con respecto al df fig, axes = plt.subplots(rows, cols, figsize=(15, 15)) # Ajusta el tamaño de la figura según tus necesidades for _, col in enumerate(int_cols): # En el ax, primero calcula el indice de filas con una division entera "//" _ // cols # Para la calcular el indice de "ax", es de la siguiente manera _ % cols, que divide cols / _ ax = axes[_ // cols, _ % cols] if rows > 1 else axes[_ % cols] # Obtén el eje correspondiente plt.figure(figsize=(8,8)) sns.boxplot(data=df, y=col, ax=ax) ax.set_title(col) # Opcional: establece el título de cada gráfico plt.tight_layout() # Ajusta el espaciado entre los gráficos plt.show() ```int\_cols = df.select\_dtypes(exclude='object').columns num\_plots = len(int\_cols) rows = 3 # Número de filas deseadas \# Aqui se calcula el numero de columnas a partir de "rows". \# Para divirdir num\_plots y rows, se hace lo que es la division entera "//", todo esto para que nos el numero entero que necesita el grafico. \# (num\_plots % rows > 0) si tiene un resto mayor a 0 indica que necesitas de una columna extra para tus graficos, si sale exacto no necesita. \# En este caso es 9 / 3 = 3.33 es decir 3, si se llegase a colocar 2, entonces seria 4.5 es decir 4 y en 2 filas seria 8 graficos, lo cual  \# Se tendria que aumentar una columna demas. cols = num\_plots // rows + (num\_plots % rows > 0)   \# Aca esta iterando "\_" sobre "int\_cols", con respecto al df fig, axes = plt.subplots(rows, cols, figsize=(15, 15)) # Ajusta el tamaño de la figura según tus necesidades for \_, col in enumerate(int\_cols):   \# En el ax, primero calcula el indice de filas con una division entera "//" \_ // cols   \# Para la calcular el indice de "ax", es de la siguiente manera \_ % cols, que divide cols / \_   ax = axes\[\_ // cols, \_ % cols] if rows > 1 else axes\[\_ % cols] # Obtén el eje correspondiente   plt.figure(figsize=(8,8))   sns.boxplot(data=df, y=col, ax=ax)   ax.set\_title(col) # Opcional: establece el título de cada gráfico plt.tight\_layout() # Ajusta el espaciado entre los gráficos plt.show()

      Nigeria es el pais con alta Inflacion:

      <u>OUTLIERS VS STANDARD DEVIATION</u>

      Outliers and standard deviation are related concepts, but they are not exactly the same thing. The standard deviation is a measure of the dispersion or spread of a set of values. It gives an idea of how much individual data points deviate from the mean (average) of the data set.

      Outliers, on the other hand, are data points that significantly differ from the rest of the data in a dataset. While the presence of outliers can affect the standard deviation, they are not solely determined by it. Outliers can be identified by various statistical methods, and they may not necessarily be located at a certain number of standard deviations from the mean.

      In some cases, outliers can have a substantial impact on the standard deviation, especially in smaller datasets. However, relying solely on standard deviation to identify outliers may not be sufficient, and other statistical techniques or domain knowledge may be necessary for a more comprehensive analysis of outliers in a dataset.