Reto: Aplica el modelo K-means

Clase 26 de 34Curso Profesional de Ciencia de Datos 2019

Contenido del curso

Web scraping con R

Paso 3: Analiza los datos

A partir de los datos de jugadores y equipos de la liga española de fútbol resultantes de la limpieza y preparación, selecciona las variables para incluir dentro del modelo K-means, como vimos en las clases.

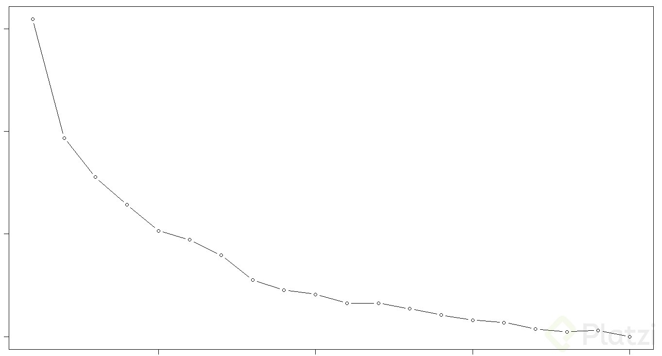
  • Obtén la gráfica Elbow y determina el número de clusters con los que segmentar a los jugadores.
  • Plotea con gráficas Radar los centros de los atributos de cada cluster e interpreta los valores obtenidos.
  • Indica por cada equipo cuantos tipos de jugadores de cada cluster tiene.
  • Avanzado: Prueba a crear variables dummies con los equipos e incluirlos en el kmeans.