Cálculo de la Media Muestral y Conceptos de Estadística Básica

Clase 7 de 22Curso de Estadística Inferencial para Data Science e Inteligencia Artificial

Contenido del curso

Pruebas de hipótesis y validación

Resumen

¿Qué es la media muestral y cómo se calcula?

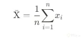
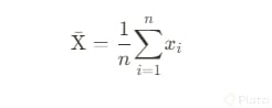
La media muestral es una herramienta fundamental en el análisis de datos, permitiéndonos entender el comportamiento general de una muestra de una población. Se conoce también como la media aritmética, y su objetivo principal es hallar el promedio de las observaciones dentro de una muestra específica. ¿Cómo se calcula? La fórmula es sencilla: sumamos todas las observaciones y las dividimos por el número total de estas observaciones.

¿Cuál es el papel de la media en el análisis de datos?

La media nos ayuda a encontrar el promedio de un conjunto de datos. Por ejemplo, si sacas calificaciones de 7, 7, 8, y 8, la media es 7.5. Este cálculo no solo aplica a notas, sino también a otras áreas; como la duración promedio de canciones si una dura un minuto y medio y otra dos, obteniendo un promedio de dos minutos.

¿En qué se diferencia la media muestral de la media poblacional?

La media muestral se representa habitualmente con el símbolo X̄, mientras que la media poblacional se representa con la letra griega μ (mu). La diferencia radica en que la media muestral se calcula solo a partir de una parte de la población total (la muestra), mientras que la media poblacional considera la totalidad de ella. Esto es crucial cuando se estudian características de un grupo, como la altura promedio de personas entre 20 y 30 años dentro de un estudio.

¿Qué son la moda y la mediana?

Tanto la moda como la mediana son métricas estadísticas que describen un conjunto de datos, pero desde perspectivas distintas a la media.

¿Qué es la moda y cuándo es útil?

La moda es el valor que se repite con mayor frecuencia dentro de un conjunto de datos. Es muy útil para detectar tendencias, como las que vemos en el mercado de la moda. Por ejemplo, si en un grupo de 190 personas, 100 tienen 20 años y 90 tienen 21 años, la moda sería 20 años, ya que es el grupo más repetido.

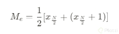
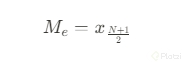
¿Cómo se determina la mediana?

La mediana es el valor que divide a un conjunto de valores ordenados en dos partes iguales. Es el número que se encuentra en el medio del conjunto de datos. En grupos con un número impar de observaciones, calcularla es simple, pero con un número par, requiere promediar los dos valores centrales. Esta medida es esencial para entender la distribución central de los datos.

¿Cómo se lleva a cabo el cálculo de la media muestral con un ejemplo?

Considerando una clase como muestra, con edades de 28, 24, 25, 23, 38, y 52 años, encontrar la media muestral implica sumar estas edades y dividir por 6, resultando un promedio de 31.7 años. Esto representa la edad promedio de los alumnos seleccionados, en comparación con la población total de la clase.

¿Por qué es importante conocer la media muestral?

Conocer la media muestral es clave en la investigación estadística porque nos da una idea clara de las características de una población a través de una pequeña muestra. Esto es invaluable en estudios donde se evalúa una parte de la población por cuestiones de costo, tiempo, y recursos.

¡Sigue aprendiendo y adentrándote en el mundo de la estadística! La comprensión de principios como la media muestral es un paso esencial en la realización de análisis más profundos y significativos en cualquier campo.