Resumen

¿Qué son los diagramas de flujo y por qué son importantes?

Los diagramas de flujo son herramientas visuales esenciales para desglosar un algoritmo o proceso que buscamos implementar para resolver un problema específico. Son utilizados ampliamente en el ámbito de la programación, gestión de procesos y enseñanza de conceptos complejos, ya que permiten visualizar y comprender cada paso de un proceso en particular. Esto se alinea especialmente con el ámbito de las macros, donde es crucial tener claridad respecto a los pasos a seguir antes de adentrarse en la programación en Visual Basic. La capacidad de mapear y clarificar un proceso a través de los diagramas de flujo facilita que podamos comunicar eficazmente nuestros objetivos dentro del entorno de programación.

¿Cuáles son los elementos básicos de un diagrama de flujo?

Para crear un diagrama de flujo efectivo, una buena práctica consiste en usar diferentes formas para representar cada tipo de elemento del proceso:

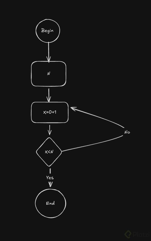
  • Inicio y fin: Se representa mediante un círculo.
  • Datos y parámetros: Se colocan dentro de un rectángulo inclinado y representan la información que alimentará al proceso.
  • Flechas: Indican el flujo o las diferentes rutas que se pueden tomar dentro del proceso.
  • Actividades: Se muestran dentro de un rectángulo y representan acciones específicas en el proceso.
  • Decisiones: Se simbolizan con un rombo, caracterizando la bifurcación del flujo según ciertas condiciones o condicionales.

¿Cómo se representan las decisiones y los condicionales en los diagramas de flujo?

Las decisiones en un diagrama de flujo son momentos críticos donde se determina el camino a seguir basándose en ciertas condiciones. Por ejemplo, en el problema de determinar cuál de tres números es mayor, se utiliza un rombo para representar una decisión donde se comparan dos o más valores. Dependiendo del resultado, se sigue un camino diferente:

  1. Comparación de valores: Se utiliza para verificar condiciones. Por ejemplo, comparar A y B o verificar si A es mayor que C.
  2. Resultado de la decisión: Si un condicional es verdadero, se sigue el camino marcado como "sí". Si es falso, se elige la ruta "no".
  3. Finalización del proceso: Después de recorrer los caminos de decisiones, el flujo concluirá al obtener el resultado esperado, como determinar qué número es el mayor.

¿Cómo iniciar la creación de tu propio diagrama de flujo?

El desarrollo de un diagrama de flujo puede parecer sencillo, pero es un ejercicio meticuloso que te ayudará a estructurar tus pensamientos y procesos. Te propongo un ejercicio práctico para iniciar:

  • Ejercicio de suma: Crea un diagrama de flujo que calcule la suma desde 0 hasta un número n que elijas. Representa cada paso desde la inicialización hasta la recopilación de la suma total.
  • Compartir resultados: Una vez concluido, puedes compartir tu diagrama en los comentarios. Esto no solo te servirá de retroalimentación, sino que también enriquecerá el aprendizaje de los demás.

Como puedes ver, el uso de diagramas de flujo no solo mejora la planificación en procesos complejos sino que también es una habilidad esencial en el perfil de cualquier profesional dedicado a la automatización y optimización de tareas.