Análisis de Variabilidad en Ingresos Personales con Excel

Clase 6 de 21Curso de Presupuesto y Flujo de Caja

Contenido del curso

Resumen

¿Cómo maximizar el control sobre los ingresos variables?

Un manejo eficiente de tus finanzas personales exige comprender y controlar tanto los ingresos fijos como los variables. Asegurar un control sobre los ingresos variables puede ser un desafío mayor debido a su naturaleza cambiante. Sin embargo, con las estrategias adecuadas, puedes minimizar la incertidumbre financiera que provocan. Aquí te presentamos cómo evaluar y gestionar la variabilidad de tus ingresos, un paso crucial para implementar presupuestos sólidos y hacer proyecciones precisas.

¿Por qué es crucial analizar la variabilidad de los ingresos?

Los ingresos variables pueden ser difíciles de prever y planificar. A diferencia de los ingresos fijos, requieren un análisis detallado para evaluar su impacto financiero. La principal desventaja de los ingresos variables es la incertidumbre que introducen en la planificación económica. Esto se traduce en la incapacidad de prever con certeza qué ingresos tendrás mes a mes, lo que dificulta la planificación financiera personal si estos ingresos no se gestionan adecuadamente.

¿Cómo medir la variabilidad de los ingresos?

El primer paso es obtener una medida objetiva de lo variable que son tus ingresos. Aquí te dejamos un proceso simple para evaluar esta variabilidad con herramientas como Excel, Google Sheets o Numbers:

  1. Recopilación de Datos: Reúne los recibos de pago de los últimos 12 a 24 meses. Es fundamental contar con esta información para evaluar de manera precisa la variabilidad.

  2. Cálculo del Promedio:

    • Ingresa los ingresos de cada mes en una hoja de cálculo.
    • Usa la función PROMEDIO para calcular cuánto ganaste por mes en cada año.
  3. Desviación Estándar:

    • Utiliza la función DESVEST para calcular cuánto se desvían tus ingresos de ese promedio; en otros programas busca STD.
  4. Coeficiente de Variación: Divide la desviación estándar entre el promedio. Es una medida que se expresa en porcentaje y te informa cuán variable es tu ingreso respecto a la media.

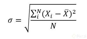
¿Por qué utilizar la desviación estándar?

La desviación estándar es crucial porque indica qué tan dispersos están tus ingresos alrededor del promedio. Esto te ayudará a:

  • Evaluar la fiabilidad del promedio mensual de ingresos.
  • Establecer rangos realistas para tus ingresos.

Una desviación estándar baja sugiere que tus ingresos no varían mucho, mientras que una alta indica alta variabilidad.

¿Cómo interpretar estas medidas para hacer proyecciones?

Con los análisis anteriores, puedes definir rangos de ingresos más precisos:

  • Mínimo y Máximo Esperado: Restar y sumar la desviación estándar al promedio de ingresos te permite identificar un rango más ajustado de ingreso mensual. Este rango te proporciona un marco más realista para hacer presupuestos y planificar tus gastos.
  • Consideraciones Avanzadas: Asumir que los datos se distribuyen de manera normal te permite realizar proyecciones con mayor certeza. Si tu coeficiente de variación es muy alto (>100%), querrá decir que hay meses en los que podrías esperar ingresos mucho mayores o mucho menores de lo habitual.

¿Cuándo el rango de ingresos es crucial para la planificación?

Utilizar un rango en vez de un número fijo cuando estés planeando tus presupuestos puede ayudarte a prever escenarios negativos o positivos:

  • Presupuestos Acertados: Al trabajar con un rango, puedes tener mayor certeza de que tus gastos fijos están cubiertos.
  • Planificación de Ahorros: Te permite ahorrar en meses buenos y prepararte mejor para los meses en donde los ingresos puedan ser menores.

Recuerda que aunque el método te brinda un panorama más amplio y seguro, sigue siendo importante ajustar tus decisiones financieras a las circunstancias del momento y realizar revisiones periódicas. Con paciencia y práctica, tendrás las herramientas para lograr estabilidad en tus finanzas personales, independientemente de la variabilidad de tus ingresos. ¡Continúa con tu aprendizaje y mejora tus finanzas personales cada día!