CursosEmpresasBlogLiveConfPrecios

Análisis de datos para tu primera regresión lineal

Clase 2 de 18 • Curso de Regresión Lineal con Python y scikit-learn

Contenido del curso

Introducción al curso

  • 1
    Tu primera regresión lineal con scikit-learn

    Tu primera regresión lineal con scikit-learn

    09:00 min
  • 2
    Análisis de datos para tu primera regresión lineal

    Análisis de datos para tu primera regresión lineal

    Viendo ahora
  • 3
    Entrenando un modelo de regresión lineal con scikit-learn

    Entrenando un modelo de regresión lineal con scikit-learn

    14:01 min

Cómo funciona la regresión lineal

  • 4
    ¿Qué es la regresión lineal?

    ¿Qué es la regresión lineal?

    04:26 min
  • 5
    Cuándo utilizar un modelo de regresión lineal

    Cuándo utilizar un modelo de regresión lineal

    03:53 min
  • 6
    Función de pérdida y optimización: mínimos cuadrados

    Función de pérdida y optimización: mínimos cuadrados

    06:10 min
  • 7
    Evaluando el modelo: R^2 y MSE

    Evaluando el modelo: R^2 y MSE

    04:49 min

Regresión lineal multivariable

  • 8
    Regresión lineal multivariable

    Regresión lineal multivariable

    03:45 min
  • 9
    Análisis de regresión multivariable

    Análisis de regresión multivariable

    14:20 min

Proyecto práctico

  • 10
    Regresión lineal para predecir los gastos médicos de pacientes

    Regresión lineal para predecir los gastos médicos de pacientes

    04:15 min
  • 11
    Exploración y preparación de datos

    Exploración y preparación de datos

    07:49 min
  • 12
    Análisis de correlación de los datos

    Análisis de correlación de los datos

    09:57 min
  • 13
    Entrenamiento del modelo

    Entrenamiento del modelo

    10:40 min
  • 14
    Evaluando el modelo

    Evaluando el modelo

    13:20 min
  • 15
    Mejorando el modelo

    Mejorando el modelo

    13:59 min

Pasos siguientes

  • 16
    ¿Qué hay más allá de la linealidad?

    ¿Qué hay más allá de la linealidad?

    04:26 min
  • 17
    Siguientes pasos en modelos de inteligencia artificial

    Siguientes pasos en modelos de inteligencia artificial

    02:11 min
  • 18
    Comparte tu proyecto de regresión lineal y certifícate

    Comparte tu proyecto de regresión lineal y certifícate

Tomar examen

Escuelas

  • Desarrollo Web
    • Fundamentos del Desarrollo Web Profesional
    • Diseño y Desarrollo Frontend
    • Desarrollo Frontend con JavaScript
    • Desarrollo Frontend con Vue.js
    • Desarrollo Frontend con Angular
    • Desarrollo Frontend con React.js
    • Desarrollo Backend con Node.js
    • Desarrollo Backend con Python
    • Desarrollo Backend con Java
    • Desarrollo Backend con PHP
    • Desarrollo Backend con Ruby
    • Bases de Datos para Web
    • Seguridad Web & API
    • Testing Automatizado y QA para Web
    • Arquitecturas Web Modernas y Escalabilidad
    • DevOps y Cloud para Desarrolladores Web
  • English Academy
    • Inglés Básico A1
    • Inglés Básico A2
    • Inglés Intermedio B1
    • Inglés Intermedio Alto B2
    • Inglés Avanzado C1
    • Inglés para Propósitos Específicos
    • Inglés de Negocios
  • Marketing Digital
    • Fundamentos de Marketing Digital
    • Marketing de Contenidos y Redacción Persuasiva
    • SEO y Posicionamiento Web
    • Social Media Marketing y Community Management
    • Publicidad Digital y Paid Media
    • Analítica Digital y Optimización (CRO)
    • Estrategia de Marketing y Growth
    • Marketing de Marca y Comunicación Estratégica
    • Marketing para E-commerce
    • Marketing B2B
    • Inteligencia Artificial Aplicada al Marketing
    • Automatización del Marketing
    • Marca Personal y Marketing Freelance
    • Ventas y Experiencia del Cliente
    • Creación de Contenido para Redes Sociales
  • Inteligencia Artificial y Data Science
    • Fundamentos de Data Science y AI
    • Análisis y Visualización de Datos
    • Machine Learning y Deep Learning
    • Data Engineer
    • Inteligencia Artificial para la Productividad
    • Desarrollo de Aplicaciones con IA
    • AI Software Engineer
  • Ciberseguridad
    • Fundamentos de Ciberseguridad
    • Hacking Ético y Pentesting (Red Team)
    • Análisis de Malware e Ingeniería Forense
    • Seguridad Defensiva y Cumplimiento (Blue Team)
    • Ciberseguridad Estratégica
  • Liderazgo y Habilidades Blandas
    • Fundamentos de Habilidades Profesionales
    • Liderazgo y Gestión de Equipos
    • Comunicación Avanzada y Oratoria
    • Negociación y Resolución de Conflictos
    • Inteligencia Emocional y Autogestión
    • Productividad y Herramientas Digitales
    • Gestión de Proyectos y Metodologías Ágiles
    • Desarrollo de Carrera y Marca Personal
    • Diversidad, Inclusión y Entorno Laboral Saludable
    • Filosofía y Estrategia para Líderes
  • Diseño de Producto y UX
    • Fundamentos de Diseño UX/UI
    • Investigación de Usuarios (UX Research)
    • Arquitectura de Información y Usabilidad
    • Diseño de Interfaces y Prototipado (UI Design)
    • Sistemas de Diseño y DesignOps
    • Redacción UX (UX Writing)
    • Creatividad e Innovación en Diseño
    • Diseño Accesible e Inclusivo
    • Diseño Asistido por Inteligencia Artificial
    • Gestión de Producto y Liderazgo en Diseño
    • Diseño de Interacciones Emergentes (VUI/VR)
    • Desarrollo Web para Diseñadores
    • Diseño y Prototipado No-Code
  • Contenido Audiovisual
    • Fundamentos de Producción Audiovisual
    • Producción de Video para Plataformas Digitales
    • Producción de Audio y Podcast
    • Fotografía y Diseño Gráfico para Contenido Digital
    • Motion Graphics y Animación
    • Contenido Interactivo y Realidad Aumentada
    • Estrategia, Marketing y Monetización de Contenidos
  • Desarrollo Móvil
    • Fundamentos de Desarrollo Móvil
    • Desarrollo Nativo Android con Kotlin
    • Desarrollo Nativo iOS con Swift
    • Desarrollo Multiplataforma con React Native
    • Desarrollo Multiplataforma con Flutter
    • Arquitectura y Patrones de Diseño Móvil
    • Integración de APIs y Persistencia Móvil
    • Testing y Despliegue en Móvil
    • Diseño UX/UI para Móviles
  • Diseño Gráfico y Arte Digital
    • Fundamentos del Diseño Gráfico y Digital
    • Diseño de Identidad Visual y Branding
    • Ilustración Digital y Arte Conceptual
    • Diseño Editorial y de Empaques
    • Motion Graphics y Animación 3D
    • Diseño Gráfico Asistido por Inteligencia Artificial
    • Creatividad e Innovación en Diseño
  • Programación
    • Fundamentos de Programación e Ingeniería de Software
    • Herramientas de IA para el trabajo
    • Matemáticas para Programación
    • Programación con Python
    • Programación con JavaScript
    • Programación con TypeScript
    • Programación Orientada a Objetos con Java
    • Desarrollo con C# y .NET
    • Programación con PHP
    • Programación con Go y Rust
    • Programación Móvil con Swift y Kotlin
    • Programación con C y C++
    • Administración Básica de Servidores Linux
  • Negocios
    • Fundamentos de Negocios y Emprendimiento
    • Estrategia y Crecimiento Empresarial
    • Finanzas Personales y Corporativas
    • Inversión en Mercados Financieros
    • Ventas, CRM y Experiencia del Cliente
    • Operaciones, Logística y E-commerce
    • Gestión de Proyectos y Metodologías Ágiles
    • Aspectos Legales y Cumplimiento
    • Habilidades Directivas y Crecimiento Profesional
    • Diversidad e Inclusión en el Entorno Laboral
    • Herramientas Digitales y Automatización para Negocios
  • Blockchain y Web3
    • Fundamentos de Blockchain y Web3
    • Desarrollo de Smart Contracts y dApps
    • Finanzas Descentralizadas (DeFi)
    • NFTs y Economía de Creadores
    • Seguridad Blockchain
    • Ecosistemas Blockchain Alternativos (No-EVM)
    • Producto, Marketing y Legal en Web3
  • Recursos Humanos
    • Fundamentos y Cultura Organizacional en RRHH
    • Atracción y Selección de Talento
    • Cultura y Employee Experience
    • Gestión y Desarrollo de Talento
    • Desarrollo y Evaluación de Liderazgo
    • Diversidad, Equidad e Inclusión
    • AI y Automatización en Recursos Humanos
    • Tecnología y Automatización en RRHH
  • Finanzas e Inversiones
    • Fundamentos de Finanzas Personales y Corporativas
    • Análisis y Valoración Financiera
    • Inversión y Mercados de Capitales
    • Finanzas Descentralizadas (DeFi) y Criptoactivos
    • Finanzas y Estrategia para Startups
    • Inteligencia Artificial Aplicada a Finanzas
    • Domina Excel
    • Financial Analyst
    • Conseguir trabajo en Finanzas e Inversiones
  • Startups
    • Fundamentos y Validación de Ideas
    • Estrategia de Negocio y Product-Market Fit
    • Desarrollo de Producto y Operaciones Lean
    • Finanzas, Legal y Fundraising
    • Marketing, Ventas y Growth para Startups
    • Cultura, Talento y Liderazgo
    • Finanzas y Operaciones en Ecommerce
    • Startups Web3 y Blockchain
    • Startups con Impacto Social
    • Expansión y Ecosistema Startup
  • Cloud Computing y DevOps
    • Fundamentos de Cloud y DevOps
    • Administración de Servidores Linux
    • Contenerización y Orquestación
    • Infraestructura como Código (IaC) y CI/CD
    • Amazon Web Services
    • Microsoft Azure
    • Serverless y Observabilidad
    • Certificaciones Cloud (Preparación)
    • Plataforma Cloud GCP

Platzi y comunidad

  • Platzi Business
  • Live Classes
  • Lanzamientos
  • Executive Program
  • Trabaja con nosotros
  • Podcast

Recursos

  • Manual de Marca

Soporte

  • Preguntas Frecuentes
  • Contáctanos

Legal

  • Términos y Condiciones
  • Privacidad
  • Tyc promociones
Reconocimientos
Reconocimientos
Logo reconocimientoTop 40 Mejores EdTech del mundo · 2024
Logo reconocimientoPrimera Startup Latina admitida en YC · 2014
Logo reconocimientoPrimera Startup EdTech · 2018
Logo reconocimientoCEO Ganador Medalla por la Educación T4 & HP · 2024
Logo reconocimientoCEO Mejor Emprendedor del año · 2024
De LATAM conpara el mundo
YoutubeInstagramLinkedInTikTokFacebookX (Twitter)Threads

      Comentarios

      FELIX  DAVID CORDOVA GARCIA

      FELIX DAVID CORDOVA GARCIA

      student•
      hace 4 años
        Tomas Dale

        Tomas Dale

        student•
        hace 4 años
        Abisai Antonio Madera

        Abisai Antonio Madera

        student•
        hace 4 años
      Agustin Blandin

      Agustin Blandin

      student•
      hace 3 años
        Oswaldo Jair García Franco

        Oswaldo Jair García Franco

        student•
        hace 3 años
        Julián Cárdenas

        Julián Cárdenas

        student•
        hace 3 años
      Hugo Montoya Diaz

      Hugo Montoya Diaz

      student•
      hace 4 años
      Maximiliano Cuesta

      Maximiliano Cuesta

      student•
      hace 4 años
        Ian Cristian Ariel Yané

        Ian Cristian Ariel Yané

        student•
        hace 3 años
      Juan Nuñez

      Juan Nuñez

      student•
      hace 4 años
      Alfonso Andres Zapata Guzman

      Alfonso Andres Zapata Guzman

      student•
      hace 4 años
        Joaquín Ugarte

        Joaquín Ugarte

        student•
        hace 3 años
        Alfonso Andres Zapata Guzman

        Alfonso Andres Zapata Guzman

        student•
        hace 3 años
      Nicolas Cordoba

      Nicolas Cordoba

      student•
      hace 4 años
      Mauro Benito Montoya Arenas

      Mauro Benito Montoya Arenas

      student•
      hace 2 años
        Bryan Castano

        Bryan Castano

        student•
        hace 5 meses
      Marcos Ireneo Barbas

      Marcos Ireneo Barbas

      student•
      hace 3 años
      Dick Saide Suárez Blanco

      Dick Saide Suárez Blanco

      student•
      hace 4 años
      Daniel de Jesús Martínez Vega

      Daniel de Jesús Martínez Vega

      student•
      hace 4 años
      Juan R Rossano

      Juan R Rossano

      student•
      hace 4 años
        Luis Fernando Laris Pardo

        Luis Fernando Laris Pardo

        student•
        hace 4 años
        Luis Fernando Laris Pardo

        Luis Fernando Laris Pardo

        student•
        hace 4 años
      Daniel de Jesús Martínez Vega

      Daniel de Jesús Martínez Vega

      student•
      hace 4 años
        Ana María Tamayo Ocampo

        Ana María Tamayo Ocampo

        student•
        hace 3 años
      Julián Cárdenas

      Julián Cárdenas

      student•
      hace 3 años
      Fabian Martinez

      Fabian Martinez

      student•
      hace 5 meses
      Gabriel Obregón

      Gabriel Obregón

      student•
      hace 8 meses
      Mario Alexander Vargas Celis

      Mario Alexander Vargas Celis

      student•
      hace 10 meses
      Rodmy Suarez

      Rodmy Suarez

      student•
      hace 2 años
      Mauro Benito Montoya Arenas

      Mauro Benito Montoya Arenas

      student•
      hace 2 años
      Johan Sebastian Muñoz Ossa

      Johan Sebastian Muñoz Ossa

      student•
      hace 2 años

      También se puede crear la matriz de correlación usando solo pandas, y para que no aparezcan esas letras raras al final ( sobre mi grafico) siempre pongo punto y coma como ven en mi grafico

      corr.PNG

      BUENISIMO APORTE, MIL MIL GRACIAS

      Excelente aporte; aquí les dejo las líneas de código:

      sns.set(font_scale = 1.5) sns.heatmap(df[cols].corr(), cbar = True, annot=True, yticklabels=cols, xticklabels=cols);

      Veo que es demasiado codigo para hacer el mapa de calor yo lo hice asi y me lo mismo

      sns.heatmap(df[cols].corr(), cbar= True, annot= True) plt.show()

      Excelente!

      Al hacerlo así me sale desconfigurado, los elementos de más que pone sí cumplen su función!

      descarga - 2023-10-15T204411.491.png

      000662390.png

      Aca dejo imagen con la informacion del Dataset

      Housing dataset.png
      Housing dataset2.png

      tanks bro! 👍

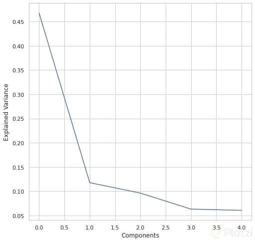
      se puede hacer PCA como en la clase de estadística explotaría para sacar los datos con más varianza y así ver cuáles contienen más información

      import plotly.graph_objects as go import plotly.io as pio pio.templates['new_template'] = go.layout.Template() pio.templates['new_template']['layout']['font'] = {'family': 'verdana', 'size': 16, 'color': 'white'} pio.templates['new_template']['layout']['paper_bgcolor'] = 'black' pio.templates['new_template']['layout']['plot_bgcolor'] = 'black' pio.templates['new_template']['layout']['xaxis'] = {'title_standoff': 10, 'linecolor': 'black', 'mirror': True, 'gridcolor': '#EEEEEE'} pio.templates['new_template']['layout']['yaxis'] = {'title_standoff': 10, 'linecolor': 'black', 'mirror': True, 'gridcolor': '#EEEEEE'} pio.templates['new_template']['layout']['legend_bgcolor'] = 'rgb(117, 112, 179)' pio.templates['new_template']['layout']['height'] = 700 pio.templates['new_template']['layout']['width'] = 1000 pio.templates['new_template']['layout']['autosize'] = False pio.templates.default = 'new_template'
      import plotly.express as px fig = px.scatter_matrix( df, dimensions=['DIS','INDUS','CRIM', 'RM', 'MEDV'], title="Scatter matrix of data set", labels={col: col.replace("_", " ") for col in df.columns}, opacity=0.7, ) fig.update_traces(diagonal_visible=False) fig.show()
      fig = px.imshow( df[cols].corr(), color_continuous_scale=px.colors.diverging.RdBu[::-1], text_auto='.2f', zmin=-1, zmax=1, ) fig.show()
      Captura de pantalla 2022-10-07 191616.png
      Captura de pantalla 2022-10-07 191652.png

      Banco mucho a la gente que usa plotly. ¡Gracias por el aporte!

      5Por cierto, ya conectamos en LinkedIn?4

      Conectemos en LinkedIn 👈 o tambien en GitHub 👈

      Ampliemos juntos nuestra red de contactos, sigueme y te sigo!

      La librería de pandas también permite realizar correlaciones y no solo usando el método de pearson sino también usando kendall y spearman

      1. CRIM - tasa de criminalidad per cápita por ciudad
      2. ZN: proporción de suelo residencial zonificado para lotes de más de 25.000 pies cuadrados.
      3. INDUS: proporción de acres de negocios no minoristas por ciudad.
      4. CHAS - Variable ficticia de Charles River (1 si el tramo limita con el río; 0 en caso contrario)
      5. NOX - concentración de óxidos nítricos (partes por 10 millones)
      6. RM - número medio de habitaciones por vivienda
      7. EDAD: proporción de unidades ocupadas por sus propietarios construidas antes de 1940
      8. DIS: distancias ponderadas a cinco centros de empleo de Boston
      9. RAD - índice de accesibilidad a carreteras radiales
      10. IMPUESTO: tasa de impuesto a la propiedad de valor total por $10,000
      11. PTRATIO - ratio alumnos-maestro por ciudad
      12. B - 1000(Bk - 0,63)^2 donde Bk es la proporción de negros por ciudad
      13. LSTAT - % de estatus inferior de la población
      14. MEDV - Valor medio de viviendas ocupadas por sus propietarios en miles de dólares

      Genial, Muchas Gracias pro compatri esto . companero Platzi, Yo realmente l oaprecio, me hace mas facil entender todo desde ahora.

      Le dejo el codigo para hacer una matriz de correlacion donde pueden ver las correlacion de todas las features y tambien filtrar a partir a partir de que indice quieren en el heatmap:

      fig = plt.subplots(figsize=(10,10)) sns.set(style='whitegrid', context='notebook', ) correlation = data.corr() #Establecer el indice abajo acceptable_corr = 0.5 filtered_correlations = correlation[correlation > acceptable_corr] sns.heatmap(filtered_correlations, annot=True) plt.show()

      ------------->Seaborn<-------- 1er Parte (minutos 0:16 a 5:15 ) Ahora analizaremos los datos obtenidos de la clase anterior, para ello utilizaremos " seaborn ". 1. NOTA: Notese que, en codigo, seaborn se sigue viendo escribiendo como "import seaborn as sns ". 2. Ahora le explicamos a Colab que importe la informacion vista anteriormente, para ello usamos "import matplotlib.pylot as plt" 3. Con estas dos librerias importadas, utilizaremos seaborn para darle estilo a los graficos. Para ello se escribe " sns.set (style='whitegrid', context = 'notebook') " --------> En otras palabras: + "sns" significa seaborn. (por ende "sns.set (continua) ", significa que estas especificando la configuracion de seaborn) +(continua)..." style = 'whitegrid', siguiente formato ", que significa el diseno y color qu va a tener la grafica. +(siguiente formato) " ,context = 'notebook' ) ", que significa que la grafica estara en un formato de "notebook" (o libreta en espanol), y con eso - Segun el profe Luis- se ve mejor. -----------> Hasta este punto, debido al hecho de que son 13 varibles, no resulta facil para que las leamos, por eso seleccionaremos solo las 5 variables mas importantes, y asi hacerlas mas faciles de leer. 4. Es por eso que se usa la variable " cols = [ 'DIS', 'INDUS', 'CRIM', 'RM', 'MEDV' ] " + "DIS" fue dado en el documento de los encabezados, este significa "Distancia desde el punto analizado a los 5 distritos mas importantes de Boston" + "INDUS" (encabezado del mismo documento), significa "Indice de Industrias que hay dentro de " + "CRIM", es "Indice de Criminalidad" + "RM", es el "Promedio de las Casas" (Mas notese que es la abreviacion de "Room") +'MEDV', es la "Mediana de los Precios", esta sera la variable mas importante porque es la que se predicira. 5. Ahora, podemos hacer nuestro primer grafico (asta' aora' facil no? 🙃xd). El cual se invoca con lo siguiente " sns.pairplot ( df [cols] ), height = 2.5) enter " ---------->ok, paso a paso: + " sns.pairplot (continua) ", sabemos ya " sns " significa seaborn, mas este caso ahora usamos " .pairplot ", que segun Google, es una matriz de "scatterplots" que nos permite entender la relation entre diferentes variables en Data Science. Se abre pararentesis para desarrollarlo / especificarlo mas, + (continua) " ( df [ *siguente *], ". Entonces, "df" es la otra manera de decir " def " (recuerdas que eso nos ayudaba a "definir una funcion "?, bueno, al final es lo mismo ). + [siguiente] " [cols] " esto es para referenciarle a la computadora (o decirle de donde sacar los datos), en este caso sera de "cols", el cual es el nombre de la variable que contiene todos los encabezados. Lo cual se vio en la clase pasada. + Por ultimo "height = 2.5", uff... este es solo para aclarar la altura a la que estara parte de la grafica (pienso es la ditancia entre renglon y renglon🤷‍♂️ lol )

      6. Terminados con un "plt.show( )", para mostrar el grafico. +Segun Google, es la funcion que nos ayuda a mostrar todas las graficas que han sido (o no) correctamente programadas.

      RM es el promedio de cuartos por casa de cada suburbio, por si a alguno se llega a confundir

      Las columns INDUS y DIS tienen mayor correlacion que MEDV y RM ya que es .71 y .70 respectivamente, solo que es correlacion negativa y no positiva. Supongo que ademas tienen mayor importancia para nuestro analisis RM y MEDV por lo que ademas de la correlacion ¿habria una ponderacion de en las columnas que afecten la correlacion a la hora de escoger la mayor?

      Respondiendo a la pregunta. Podría haber, siempre es importante recordar que las correlaciones no son causaciones, por tanto una alta correlación no es indicador necesariamente que la variable nos va a ayudar a predecir a futuro un resultado. Por tanto el conocimiento experto es muy importante al momento de hacer análisis y alguien que pueda decir que una variable es mejor a otra por una razón lógica se podría tomar en cuenta para tomar un resultado sobre otro

      Ahora respondiendo al comentario, es cierto que la correlación de Indus y DIS es mayor, pero el ejercicio acá es intentar usar regresión lineal para predecir la medianas de los precios (MEDV) por tanto se escogió la variable que más correlacionada a MEDV, en este caso fue RM. Sí hubiéramos, por ejemplo, querido predecir la cantidad de industrias que hay en una zona (INDUS), entonces la variable DIS hubiera sí hubiera sido la variable que se hubiera escogido para realizar dicha predicción. Buena observación! Muchas gracias por ponerla por acá!

      Esta es la configuración que hice para graficar la correlación lineal de las variables:

      sns.heatmap(df[cols].corr(), annot= True, cmap='coolwarm');
      • el método .corr() de pandas nos ayuda a hacer de manera más concisa nuestra matriz de correlación
      • cmap='coolwarm' le da una paleta de colores a nuestro heatmap más intuitivo

      Con esto seaborn entrega esto:

      download.png

      Tambien puedes utilizar estas gamas y mirar cual es la mejor para la interpretación: 'crest', 'Accent', 'Accent_r', 'Blues', 'Blues_r', 'BrBG', 'BrBG_r', 'BuGn', 'BuGn_r', 'BuPu', 'BuPu_r', 'CMRmap', 'CMRmap_r', 'Dark2', 'Dark2_r', 'GnBu', 'GnBu_r', 'Greens', 'Greens_r', 'Greys', 'Greys_r', 'OrRd', 'OrRd_r', 'Oranges', 'Oranges_r', 'PRGn', 'PRGn_r', 'Paired', 'Paired_r', 'Pastel1', 'Pastel1_r', 'Pastel2', 'Pastel2_r', 'PiYG', 'PiYG_r', 'PuBu', 'PuBuGn', 'PuBuGn_r', 'PuBu_r', 'PuOr', 'PuOr_r', 'PuRd', 'PuRd_r', 'Purples', 'Purples_r', 'RdBu', 'RdBu_r', 'RdGy', 'RdGy_r', 'RdPu', 'RdPu_r', 'RdYlBu', 'RdYlBu_r', 'RdYlGn', 'RdYlGn_r', 'Reds', 'Reds_r', 'Set1', 'Set1_r', 'Set2', 'Set2_r', 'Set3', 'Set3_r', 'Spectral', 'Spectral_r', 'Wistia', 'Wistia_r', 'YlGn', 'YlGnBu', 'YlGnBu_r', 'YlGn_r', 'YlOrBr', 'YlOrBr_r', 'YlOrRd', 'YlOrRd_r', 'afmhot', 'afmhot_r', 'autumn', 'autumn_r', 'binary', 'binary_r', 'bone', 'bone_r', 'brg', 'brg_r', 'bwr', 'bwr_r', 'cividis', 'cividis_r', 'cool', 'cool_r', 'coolwarm', 'coolwarm_r', 'copper', 'copper_r', 'crest', 'crest_r', 'cubehelix', 'cubehelix_r', 'flag', 'flag_r', 'flare', 'flare_r', 'gist_earth', 'gist_earth_r', 'gist_gray', 'gist_gray_r', 'gist_heat', 'gist_heat_r', 'gist_ncar', 'gist_ncar_r', 'gist_rainbow', 'gist_rainbow_r', 'gist_stern', 'gist_stern_r', 'gist_yarg', 'gist_yarg_r', 'gnuplot', 'gnuplot2', 'gnuplot2_r', 'gnuplot_r', 'gray', 'gray_r', 'hot', 'hot_r', 'hsv', 'hsv_r', 'icefire', 'icefire_r', 'inferno', 'inferno_r', 'jet', 'jet_r', entre otros.

      Código de la clase Entendiendo los datos

      import seaborn as sns import matplotlib.pyplot as plt sns.set (style = 'darkgrid', context = 'notebook') cols = ['DIS', 'INDUS','CRIM', 'RM', 'MEDV' ] sns.pairplot (df[cols], height = 3.0) plt.show ()

      ** **Mapa de Calor con las variables y sus relaciones **

      import numpy as np cm = np.corrcoef(df[cols].values.T) sns.set(font_scale=1.5) sns.heatmap(cm, cbar=True, annot=True,yticklabels=cols,xticklabels=cols)

      El paso para hacer el mapa de calor se puede evitar simplemente usando sns.heatmap(archivo[cols].corr(),annot=True)

      📝Análisis exploratorio con gráficos (Python)

      🔧 Librerías

      📦 seaborn (sns) → gráficos estadísticos

      📦 matplotlib (plt) → visualizaciones generales

      📦 numpy (np) → operaciones numéricas

      🎨 Estilo de los gráficos

      ✨ Fondo → cuadrícula blanca

      ✨ Contexto → notebook (ideal para Jupyter)

      sns.set(style='whitegrid', context='notebook')

      📊 Variables analizadas

      ➡️ DIS → distancia media a centros de empleo

      ➡️ INDUS → proporción de suelo industrial

      ➡️ CRIM → tasa de criminalidad per cápita

      ➡️ RM → número medio de habitaciones por vivienda

      ➡️ MEDV → valor medio de las viviendas

      cols = ['DIS', 'INDUS', 'CRIM', 'RM', 'MEDV']

      🔍 Gráfico generado

      📌 Comando:

      sns.pairplot(df[cols], height=2.5)

      plt.show()

      📈 Qué se obtiene:

      • 🔹 Diagramas de dispersión → muestran relaciones entre pares de variables.
      • 🔹 Histogramas en la diagonal → distribución de cada variable.

      ✅ Idea principal

      Este análisis ayuda a: 🔎 Detectar relaciones y patrones 📉 Ver correlaciones ⚠️ Identificar valores atípicos (outliers)

      💡 Tip de repaso

      Observa con atención:

      • 🏠 MEDV (valor de la vivienda) vs. 🛏 RM (número de habitaciones)
      • 🏠 MEDV vs. 🚨 CRIM (criminalidad)

      vamos a realizar un análisis de datos para nuestra primera regresión lineal utilizando el famoso dataset de Housing de Boston (aunque oficialmente retirado de sklearn por temas éticos, aún puede usarse con cuidado desde UCI).

      Este dataset contiene 506 filas y 14 columnas. La variable objetivo (target) es el precio medio de las viviendas en miles de dólares.

      🔹 Paso 1: Cargar los datos

      import pandas as pd

      # Cargar el dataset desde UCI url = 'https://archive.ics.uci.edu/ml/machine-learning-databases/housing/housing.data' columnas = [ 'CRIM', 'ZN', 'INDUS', 'CHAS', 'NOX', 'RM', 'AGE', 'DIS', 'RAD', 'TAX', 'PTRATIO', 'B', 'LSTAT', 'MEDV' ] data = pd.read_csv(url, header=None, sep=r'\s+', names=columnas)

      🔹 Paso 2: Inspeccionar el dataset

      # Ver primeras filas print(data.head())

      # Resumen estadístico print(data.describe())

      # Ver si hay valores nulos print(data.isnull().sum())

      🔹 Paso 3: Visualización de correlaciones

      Podemos usar seaborn para ver cómo se relacionan las variables con la variable objetivo MEDV.

      import seaborn as sns import matplotlib.pyplot as plt

      # Mapa de calor de correlaciones plt.figure(figsize=(12, 10)) sns.heatmap(data.corr(), annot=True, fmt=".2f", cmap="coolwarm") plt.title("Matriz de Correlación") plt.show()

      🔹 Paso 4: Selección de una variable para regresión simple

      Vamos a elegir la variable más correlacionada con MEDV. Por lo general, LSTAT (porcentaje de población con bajos ingresos) tiene una fuerte correlación negativa con el precio.

      sns.scatterplot(x='LSTAT', y='MEDV', data=data) plt.title("Relación entre LSTAT y MEDV") plt.xlabel("LSTAT (% población de bajos ingresos)") plt.ylabel("Precio medio (MEDV)") plt.show()

      ¿Qué sigue?

      Con esta base ya podemos:

      1. Dividir el dataset en entrenamiento y prueba.
      2. Crear un modelo de regresión lineal con scikit-learn.
      3. Entrenar el modelo.
      4. Hacer predicciones y evaluar el desempeño.

      Es interesante que existe una relación entre las variables INDUS y DIS, esta relación es negativa, pero entiendo que puede ser utilizada también para los ejemplos que estamos viendo.

      Aca esta el link donde pueden encontrar la información de las variables:

      Para el análisis exploratorio les recomiendo aprender a usar la librería ydata_profiling, por ejemplo:

      from ydata_profiling import ProfileReport

      ProfileReport(df)