CursosEmpresasBlogLiveConfPrecios

Función de pérdida y optimización: mínimos cuadrados

Clase 6 de 18 • Curso de Regresión Lineal con Python y scikit-learn

Contenido del curso

Introducción al curso

  • 1
    Tu primera regresión lineal con scikit-learn

    Tu primera regresión lineal con scikit-learn

    09:00 min
  • 2
    Análisis de datos para tu primera regresión lineal

    Análisis de datos para tu primera regresión lineal

    09:49 min
  • 3
    Entrenando un modelo de regresión lineal con scikit-learn

    Entrenando un modelo de regresión lineal con scikit-learn

    14:01 min

Cómo funciona la regresión lineal

  • 4
    ¿Qué es la regresión lineal?

    ¿Qué es la regresión lineal?

    04:26 min
  • 5
    Cuándo utilizar un modelo de regresión lineal

    Cuándo utilizar un modelo de regresión lineal

    03:53 min
  • 6
    Función de pérdida y optimización: mínimos cuadrados

    Función de pérdida y optimización: mínimos cuadrados

    Viendo ahora
  • 7
    Evaluando el modelo: R^2 y MSE

    Evaluando el modelo: R^2 y MSE

    04:49 min

Regresión lineal multivariable

  • 8
    Regresión lineal multivariable

    Regresión lineal multivariable

    03:45 min
  • 9
    Análisis de regresión multivariable

    Análisis de regresión multivariable

    14:20 min

Proyecto práctico

  • 10
    Regresión lineal para predecir los gastos médicos de pacientes

    Regresión lineal para predecir los gastos médicos de pacientes

    04:15 min
  • 11
    Exploración y preparación de datos

    Exploración y preparación de datos

    07:49 min
  • 12
    Análisis de correlación de los datos

    Análisis de correlación de los datos

    09:57 min
  • 13
    Entrenamiento del modelo

    Entrenamiento del modelo

    10:40 min
  • 14
    Evaluando el modelo

    Evaluando el modelo

    13:20 min
  • 15
    Mejorando el modelo

    Mejorando el modelo

    13:59 min

Pasos siguientes

  • 16
    ¿Qué hay más allá de la linealidad?

    ¿Qué hay más allá de la linealidad?

    04:26 min
  • 17
    Siguientes pasos en modelos de inteligencia artificial

    Siguientes pasos en modelos de inteligencia artificial

    02:11 min
  • 18
    Comparte tu proyecto de regresión lineal y certifícate

    Comparte tu proyecto de regresión lineal y certifícate

Tomar examen

Escuelas

  • Desarrollo Web
    • Fundamentos del Desarrollo Web Profesional
    • Diseño y Desarrollo Frontend
    • Desarrollo Frontend con JavaScript
    • Desarrollo Frontend con Vue.js
    • Desarrollo Frontend con Angular
    • Desarrollo Frontend con React.js
    • Desarrollo Backend con Node.js
    • Desarrollo Backend con Python
    • Desarrollo Backend con Java
    • Desarrollo Backend con PHP
    • Desarrollo Backend con Ruby
    • Bases de Datos para Web
    • Seguridad Web & API
    • Testing Automatizado y QA para Web
    • Arquitecturas Web Modernas y Escalabilidad
    • DevOps y Cloud para Desarrolladores Web
  • English Academy
    • Inglés Básico A1
    • Inglés Básico A2
    • Inglés Intermedio B1
    • Inglés Intermedio Alto B2
    • Inglés Avanzado C1
    • Inglés para Propósitos Específicos
    • Inglés de Negocios
  • Marketing Digital
    • Fundamentos de Marketing Digital
    • Marketing de Contenidos y Redacción Persuasiva
    • SEO y Posicionamiento Web
    • Social Media Marketing y Community Management
    • Publicidad Digital y Paid Media
    • Analítica Digital y Optimización (CRO)
    • Estrategia de Marketing y Growth
    • Marketing de Marca y Comunicación Estratégica
    • Marketing para E-commerce
    • Marketing B2B
    • Inteligencia Artificial Aplicada al Marketing
    • Automatización del Marketing
    • Marca Personal y Marketing Freelance
    • Ventas y Experiencia del Cliente
    • Creación de Contenido para Redes Sociales
  • Inteligencia Artificial y Data Science
    • Fundamentos de Data Science y AI
    • Análisis y Visualización de Datos
    • Machine Learning y Deep Learning
    • Data Engineer
    • Inteligencia Artificial para la Productividad
    • Desarrollo de Aplicaciones con IA
    • AI Software Engineer
  • Ciberseguridad
    • Fundamentos de Ciberseguridad
    • Hacking Ético y Pentesting (Red Team)
    • Análisis de Malware e Ingeniería Forense
    • Seguridad Defensiva y Cumplimiento (Blue Team)
    • Ciberseguridad Estratégica
  • Liderazgo y Habilidades Blandas
    • Fundamentos de Habilidades Profesionales
    • Liderazgo y Gestión de Equipos
    • Comunicación Avanzada y Oratoria
    • Negociación y Resolución de Conflictos
    • Inteligencia Emocional y Autogestión
    • Productividad y Herramientas Digitales
    • Gestión de Proyectos y Metodologías Ágiles
    • Desarrollo de Carrera y Marca Personal
    • Diversidad, Inclusión y Entorno Laboral Saludable
    • Filosofía y Estrategia para Líderes
  • Diseño de Producto y UX
    • Fundamentos de Diseño UX/UI
    • Investigación de Usuarios (UX Research)
    • Arquitectura de Información y Usabilidad
    • Diseño de Interfaces y Prototipado (UI Design)
    • Sistemas de Diseño y DesignOps
    • Redacción UX (UX Writing)
    • Creatividad e Innovación en Diseño
    • Diseño Accesible e Inclusivo
    • Diseño Asistido por Inteligencia Artificial
    • Gestión de Producto y Liderazgo en Diseño
    • Diseño de Interacciones Emergentes (VUI/VR)
    • Desarrollo Web para Diseñadores
    • Diseño y Prototipado No-Code
  • Contenido Audiovisual
    • Fundamentos de Producción Audiovisual
    • Producción de Video para Plataformas Digitales
    • Producción de Audio y Podcast
    • Fotografía y Diseño Gráfico para Contenido Digital
    • Motion Graphics y Animación
    • Contenido Interactivo y Realidad Aumentada
    • Estrategia, Marketing y Monetización de Contenidos
  • Desarrollo Móvil
    • Fundamentos de Desarrollo Móvil
    • Desarrollo Nativo Android con Kotlin
    • Desarrollo Nativo iOS con Swift
    • Desarrollo Multiplataforma con React Native
    • Desarrollo Multiplataforma con Flutter
    • Arquitectura y Patrones de Diseño Móvil
    • Integración de APIs y Persistencia Móvil
    • Testing y Despliegue en Móvil
    • Diseño UX/UI para Móviles
  • Diseño Gráfico y Arte Digital
    • Fundamentos del Diseño Gráfico y Digital
    • Diseño de Identidad Visual y Branding
    • Ilustración Digital y Arte Conceptual
    • Diseño Editorial y de Empaques
    • Motion Graphics y Animación 3D
    • Diseño Gráfico Asistido por Inteligencia Artificial
    • Creatividad e Innovación en Diseño
  • Programación
    • Fundamentos de Programación e Ingeniería de Software
    • Herramientas de IA para el trabajo
    • Matemáticas para Programación
    • Programación con Python
    • Programación con JavaScript
    • Programación con TypeScript
    • Programación Orientada a Objetos con Java
    • Desarrollo con C# y .NET
    • Programación con PHP
    • Programación con Go y Rust
    • Programación Móvil con Swift y Kotlin
    • Programación con C y C++
    • Administración Básica de Servidores Linux
  • Negocios
    • Fundamentos de Negocios y Emprendimiento
    • Estrategia y Crecimiento Empresarial
    • Finanzas Personales y Corporativas
    • Inversión en Mercados Financieros
    • Ventas, CRM y Experiencia del Cliente
    • Operaciones, Logística y E-commerce
    • Gestión de Proyectos y Metodologías Ágiles
    • Aspectos Legales y Cumplimiento
    • Habilidades Directivas y Crecimiento Profesional
    • Diversidad e Inclusión en el Entorno Laboral
    • Herramientas Digitales y Automatización para Negocios
  • Blockchain y Web3
    • Fundamentos de Blockchain y Web3
    • Desarrollo de Smart Contracts y dApps
    • Finanzas Descentralizadas (DeFi)
    • NFTs y Economía de Creadores
    • Seguridad Blockchain
    • Ecosistemas Blockchain Alternativos (No-EVM)
    • Producto, Marketing y Legal en Web3
  • Recursos Humanos
    • Fundamentos y Cultura Organizacional en RRHH
    • Atracción y Selección de Talento
    • Cultura y Employee Experience
    • Gestión y Desarrollo de Talento
    • Desarrollo y Evaluación de Liderazgo
    • Diversidad, Equidad e Inclusión
    • AI y Automatización en Recursos Humanos
    • Tecnología y Automatización en RRHH
  • Finanzas e Inversiones
    • Fundamentos de Finanzas Personales y Corporativas
    • Análisis y Valoración Financiera
    • Inversión y Mercados de Capitales
    • Finanzas Descentralizadas (DeFi) y Criptoactivos
    • Finanzas y Estrategia para Startups
    • Inteligencia Artificial Aplicada a Finanzas
    • Domina Excel
    • Financial Analyst
    • Conseguir trabajo en Finanzas e Inversiones
  • Startups
    • Fundamentos y Validación de Ideas
    • Estrategia de Negocio y Product-Market Fit
    • Desarrollo de Producto y Operaciones Lean
    • Finanzas, Legal y Fundraising
    • Marketing, Ventas y Growth para Startups
    • Cultura, Talento y Liderazgo
    • Finanzas y Operaciones en Ecommerce
    • Startups Web3 y Blockchain
    • Startups con Impacto Social
    • Expansión y Ecosistema Startup
  • Cloud Computing y DevOps
    • Fundamentos de Cloud y DevOps
    • Administración de Servidores Linux
    • Contenerización y Orquestación
    • Infraestructura como Código (IaC) y CI/CD
    • Amazon Web Services
    • Microsoft Azure
    • Serverless y Observabilidad
    • Certificaciones Cloud (Preparación)
    • Plataforma Cloud GCP

Platzi y comunidad

  • Platzi Business
  • Live Classes
  • Lanzamientos
  • Executive Program
  • Trabaja con nosotros
  • Podcast

Recursos

  • Manual de Marca

Soporte

  • Preguntas Frecuentes
  • Contáctanos

Legal

  • Términos y Condiciones
  • Privacidad
  • Tyc promociones
Reconocimientos
Reconocimientos
Logo reconocimientoTop 40 Mejores EdTech del mundo · 2024
Logo reconocimientoPrimera Startup Latina admitida en YC · 2014
Logo reconocimientoPrimera Startup EdTech · 2018
Logo reconocimientoCEO Ganador Medalla por la Educación T4 & HP · 2024
Logo reconocimientoCEO Mejor Emprendedor del año · 2024
De LATAM conpara el mundo
YoutubeInstagramLinkedInTikTokFacebookX (Twitter)Threads

      Comentarios

        Andrés Fernández

        Andrés Fernández

        student•
        hace 4 años

        Es decir, la recta que mejor representa los datos, es aquella en la que la distancia desde los puntos hasta la recta es menor.

          Jeison Mesa Diez

          Jeison Mesa Diez

          student•
          hace 4 años

          Exacto! es la recta que minimiza todos los errore

          Juan R. Vergara M.

          Juan R. Vergara M.

          student•
          hace 3 años

          Así es.

        Cristian Enrique Cuevas Mercado

        Cristian Enrique Cuevas Mercado

        student•
        hace 4 años

        para aplicar minimo cuadrado se necesita varios supuesto que en el mundo de Machine learning no suelen mencionar, como linealidad, normalidad y homocedasticidad

          Jeison Mesa Diez

          Jeison Mesa Diez

          student•
          hace 4 años

          muchas veces suelen sobre-utilizar el teorema del limite central (donde esos errores son normales identicamente distribuidos) el problema de la homocedastiicidad se identifica graficando los errores versus los valores predichos (y para algunos pasos sería mejor un modelo de efectos mixtos).

        Jhon Freddy Tavera Blandon

        Jhon Freddy Tavera Blandon

        student•
        hace 3 años

        La función de pérdida de mínimos cuadrados se define matemáticamente de la siguiente manera:

        L = Σ(y - ŷ)² Donde: L es la función de pérdida. Σ es el símbolo de suma. y son los valores reales de la variable dependiente. ŷ son los valores predichos por el modelo.
          Julián Cárdenas

          Julián Cárdenas

          student•
          hace 3 años

          Buen sumarry y aporte compañero!

        Hugo Montoya Diaz

        Hugo Montoya Diaz

        student•
        hace 4 años

        Minimos cuadrados

        Sin título9.png

          Juan R. Vergara M.

          Juan R. Vergara M.

          student•
          hace 3 años

          ✔👍

        Samit Arias

        Samit Arias

        student•
        hace 4 años

        Pero porque exactamente se escoge esa función de perdida y optimización, siendo que hay otras?

          Abraham Sinue Salinas Moreno

          Abraham Sinue Salinas Moreno

          student•
          hace 4 años

          Hola Samit, buenas tardes, son las más comunes que se usan, el descenso del gradiente es el mas usado en temas de optimización no lineal, matemáticamente hablando es un algoritmo óptimo ya que este consigue en cada iteración un mínimo local de la función a minimizar .

        Dick Saide Suárez Blanco

        Dick Saide Suárez Blanco

        student•
        hace 4 años

        ------>Funcion de perdida y optimizacion: minimos cuadrados.<--------

        σCuatro pasos para hacer un algoitmo 1 . Ajustar el modelo +Crear una linear recta: Es decir, la recta que mejor representa los datos, es aquella en la que la distancia desde los puntos hasta la recta es menor. 2 . Comparar resultados con los reales. +Para entender que tal son las predicciones vs la realidad. 3 . Se ajustan pesos en el modelo. +Tendras funciones que daran el resultado final a tu modelo, es importante. ajustarlos. 4. Regreso a paso inicial si no se converge. +Si el modelo funciona, entonces esta listo para ser probado

        σ Despues se muestra la linea roja, la cual representa la informacion original. Y una linea formada de muchisimos puntos (como si fuera un tipo proyeccion / holograma), el cual representa la prediccion que se hizo.

        σ Se explica que cuando se habla de los "pesos en el modelo", se explica que estos son w0 + w1X (dentro de la formula vista en la otra clase). Explica que para ejecutar un algoritmo: a) Es la funcion de perdida. +La cual ayuda a entender lo buenas (o no) que son las predicciones hechas. +En ese caso se usa el metodo de los minimos cuadrados. b) Algoritmo de optimizacion. +El cual el mas comun es el de "descenso del gradiente".

        Antonio Demarco Bonino

        Antonio Demarco Bonino

        student•
        hace 2 años

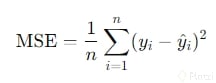
        Esta es la ecuación del MSE:

        También dejo este código para que vean como se comporta el MSE:

        import numpy as np import matplotlib.pyplot as plt def mse(y_true, y_pred): return np.mean((y_true - y_pred)**2) x = np.array([1, 2, 3, 4, 5]) y_true = np.array([1, 2, 3, 3.5, 5]) y_pred = np.array([1, 2, 2.8, 4, 4.5]) error = mse(y_true, y_pred) plt.scatter(x, y_true, color="blue", label="Valores Reales") plt.plot(x, y_pred, color="red", label="Línea Predicha") plt.title(f"Regresión Lineal con MSE = {error:.2f}") plt.xlabel("X") plt.ylabel("Y") plt.legend() plt.legend(loc='upper left', bbox_to_anchor=(1, 1), fancybox=True, shadow=True) plt.grid(True) plt.show()
        Jesús Andrés Báez Pérez

        Jesús Andrés Báez Pérez

        student•
        hace 4 años

        Función de perdida:

        Te va ayudar a entender que tan buenas son tus predicciones respecto a los datos reales

          Juan R. Vergara M.

          Juan R. Vergara M.

          student•
          hace 3 años

          Gran cita.

        Fernando Saldivar Ceron

        Fernando Saldivar Ceron

        student•
        hace 4 años

        Excelente aportacion

        René Novillo Morales

        René Novillo Morales

        student•
        hace 21 días

        porque se eleva al cuadrado las distancias?

        Si solo sumáramos las distancias, los errores positivos y negativos se anularían entre sí, ocultando el problema real. Al elevar al cuadrado, obligas a que cada error sume al total y, de paso, penalizas mucho más los errores grandes.

        Es una elección matemática elegante, pero tiene consecuencias. Si el cuadrado castiga tanto los errores grandes, ¿qué sucede cuando tienes datos con valores atípicos (outliers) muy extremos?

        Juan Acevedo

        Juan Acevedo

        student•
        hace 9 meses

        La función de pérdida nos ayuda a entender qué tan buena es la predicción que hicimos en comparación con los datos reales. Esta función devuelve la diferencia entre el valor real y el valor predicho, lo que nos permite ver básicamente la distancia que hubo entre la recta y el dato real.

        El objetivo de la optimización es reducir al máximo esa distancia entre lo predicho y lo real, de manera que, al recibir un nuevo valor, este se ajuste a la línea ya definida.

        Dicha línea se ajusta mediante unos pesos (w), los cuales se modifican durante el proceso de optimización en función de cómo cambian los datos y cómo varía la predicción cuando x aumenta en una unidad, hasta encontrar los mejores pesos que logren el ajuste más preciso posible.

        Mario Alexander Vargas Celis

        Mario Alexander Vargas Celis

        student•
        hace 10 meses

        En regresión lineal, la función de pérdida más común es la de mínimos cuadrados. Aquí te explico qué es y cómo se usa para la optimización del modelo:

        🎯 ¿Qué es la función de pérdida de mínimos cuadrados?

        Es una función que mide el error entre los valores predichos por el modelo y los valores reales. La idea es minimizar ese error durante el entrenamiento.

        📐 Definición matemática

        Dada una muestra de datos con n observaciones:

        Peˊrdida=∑i=1n(yi−y^i)2\text{Pérdida} = \sum_{i=1}^{n} (y_i - \hat{y}_i)^2

        Donde:

        • yiy_i = valor real
        • y^i\hat{y}_i = valor predicho por el modelo
        • La diferencia yi−y^iy_i - \hat{y}_i se llama residuo
        • Se eleva al cuadrado para:
          • Penalizar más los errores grandes
          • Evitar que errores positivos y negativos se cancelen

        Esta pérdida también se conoce como Error Cuadrático Total (SSE) o Suma de los errores al cuadrado.

        🛠 ¿Cómo se optimiza?

        El modelo de regresión lineal busca los coeficientes (pendientes y término independiente) que minimizan esta función de pérdida.

        Esto se puede hacer con:

        • Solución analítica (ecuación normal): Para modelos pequeños o simples.
        • Descenso del gradiente: Método iterativo que ajusta los coeficientes paso a paso en la dirección que reduce el error.

        📉 ¿Por qué mínimos cuadrados?

        Porque es:

        • Rápido y computacionalmente eficiente.
        • Fácil de interpretar.
        • Funciona bien si los errores siguen una distribución normal.

        📌 En Python con scikit-learn:

        Cuando usas:

        from sklearn.linear_model import LinearRegression modelo = LinearRegression() modelo.fit(X, y)

        Internamente se está minimizando la función de mínimos cuadrados para encontrar los mejores coeficientes.

        Jose Antonio Cano Román

        Jose Antonio Cano Román

        student•
        hace un año

        Los mínimos cuadrados son un método utilizado para estimar los parámetros de un modelo de regresión lineal. El error cuadrático medio (ECM) es una medida que se utiliza para evaluar la calidad de la estimación del modelo; efectivamente, el método de mínimos cuadrados busca minimizar el ECM. En resumen, mientras que los mínimos cuadrados son la técnica para ajustar el modelo, el ECM es el criterio que se minimiza durante este proceso.

        Jose Antonio Cano Román

        Jose Antonio Cano Román

        student•
        hace un año

        La función de pérdida es un componente crucial en el entrenamiento de modelos de machine learning, especialmente en redes neuronales. Se utiliza para medir qué tan bien se está desempeñando el modelo al hacer predicciones. En términos simples, esta función calcula la diferencia entre las predicciones del modelo y los valores reales. Un valor más bajo de la función de pérdida indica un mejor rendimiento del modelo. Durante el entrenamiento, el objetivo es minimizar esta función, ajustando los parámetros del modelo a través de técnicas como el descenso del gradiente.

        Isaac Bryan Ascanoa Roncall

        Isaac Bryan Ascanoa Roncall

        student•
        hace 2 años

        Es interesante el uso de la funcion de perdida. Estos metodos los desconocia por completo. Ahora se que los debo aplicar para tener la mejor regresion lineal. Probar y probar.

        Stanley Melgar

        Stanley Melgar

        student•
        hace 2 años

        El tema del descenso del gradiente es un tema muy interesante en el cual todos deberíamos profundizar.

        Gerardo Mayel Fernández Alamilla

        Gerardo Mayel Fernández Alamilla

        student•
        hace 3 años

        agregaría que el cuadrado de la función se agrega para obtener el valor absoluto de la diferencia de la predicción vs el real, por ejemplo si el valor original es 0 y la predicción original es 2 entonces el error es 2 al cuadrado 4, si la predicción es -2 entonces otra vez el error al cuadrado sigue siendo 4, por lo tanto la variación será la raíz de las diferencias en este caso 2, significa que el error está en +/- 2 unidades con respecto al valor real

        Sebastian Gaviria

        Sebastian Gaviria

        student•
        hace 3 años

        Por si quieren el código de Markdown:

        $\hat{y}$ = W<sub>0</sub> + W<sub>1</sub>X
        Diego Jurado

        Diego Jurado

        student•
        hace 3 años

        Asi explicado tiene sentido, estaba claro que la linea azul no se ajustaba a los datos.

        Fidel Moreno

        Fidel Moreno

        student•
        hace 4 años

        Función de perdida y algoritmo de Optimización