Cálculo del intervalo de confianza del 95%

Clase 26 de 27Curso de Estadística Descriptiva

Contenido del curso

Resumen

Calcular un intervalo de confianza es un recurso esencial para determinar qué tan confiable es un conjunto de datos estadísticos. En situaciones reales, como evaluar la duración de baterías, nos permite definir claramente qué esperar con un nivel preestablecido de seguridad.

¿Qué es exactamente el intervalo de confianza?

El intervalo de confianza te dice con qué seguridad puedes esperar que cierta medida estadística, como la vida promedio de una batería, caiga en un rango determinado. Por ejemplo, si usas un intervalo del 95%, asumes que el valor real de lo que estudias se encuentra dentro de él en un 95% de las situaciones.

En términos gráficos, este intervalo está centrado alrededor de la media en una distribución normal. El intervalo tiene dos extremos:

  • Límite inferior (a la izquierda de la media).
  • Límite superior (a la derecha de la media).

Cada uno se ubica a la misma distancia de la media en ambos sentidos.

¿Cómo se calcula el intervalo de confianza del 95%?

El intervalo requiere varios valores clave:

  • Media (X̄) es el promedio del conjunto de datos tomado.
  • Desviación estándar (σ) indica cuánto se desvían los valores respecto a la media.
  • Z α/2 es el valor específico que surge al considerar el porcentaje acumulado del área bajo la curva de Gauss.
  • Error estándar mide la precisión con que una muestra refleja a la población completa.

El cálculo sigue estos pasos principales:

  1. Identifica la media y la desviación estándar.
  2. Define tu nivel de confianza (generalmente 95%), lo que implica restar un 2.5% en cada extremo.
  3. Encuentra el valor Z correspondiente al 97.5% acumulado (1.96 en nuestro caso).
  4. Calcula el error estándar (desviación estándar dividido entre la raíz cuadrada del tamaño de la muestra).
  5. Determina el margen de error multiplicando el valor Z por el error estándar.
  6. Finalmente, suma y resta el margen de error a la media para elaborar tu intervalo.

Ejemplo práctico: duración de una batería

Supongamos que evaluamos la duración promedio de unas baterías con los siguientes datos:

  • Media: 520 días.
  • Desviación estándar: 50 días.
  • Muestra: 100 baterías.
  • Nivel de confianza: 95%.

Siguiendo los pasos anteriores:

  • Z (α/2): corresponde al 1.96.
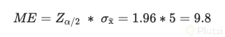
  • Error estándar: 50 / √100 = 5 días.
  • Margen de error: Z × error estándar = 1.96 × 5 = 9.8 días.

Esto quiere decir que nuestro intervalo de confianza al 95% será:

  • Límite inferior: 520 - 9.8 ≈ 510 días.
  • Límite superior: 520 + 9.8 ≈ 530 días.

Con ello, el intervalo de confianza indica que la duración promedio real de la batería oscilará entre los 510 y los 530 días con un nivel de confianza del 95%.

Comenta, ¿te quedó claro el procedimiento para calcular tu intervalo de confianza?

      Cálculo del intervalo de confianza del 95%