Análisis de resultados del modelo de regresión

Clase 27 de 29Curso de Fundamentos de Redes Neuronales con Python y Keras

Contenido del curso

Fundamentos en la arquitectura de redes neuronales

Manejo de redes neuronales con Keras

Resumen

¿Cómo analizar los resultados de una red neuronal?

En este script, se aborda el proceso de análisis de resultados de una red neuronal, ajustando parámetros para mejorar su rendimiento. El enfoque principal es determinar el error cuadrático medio (MSE) y el error absoluto medio (MAE) a través de la iteración en diferentes épocas. Aquí te explicamos paso a paso cómo realizar este análisis y ajustar las variables necesarias para optimizar la red.

¿Qué pasos seguir para calcular el promedio de errores?

Primero, es crucial calcular el promedio de los errores generados en múltiples iteraciones de la red neuronal. Para implementarlo:

import pandas as pd all_min_square_error = pd.DataFrame(all_history).mean(axis=0)

Esto generará un promedio de los errores a lo largo de las cuatro iteraciones en 80 épocas destacadas en el proceso inicial.

¿Qué podemos hacer si nuestras épocas son bajas?

Es posible que 80 épocas no sean suficientes para una regresión óptima. En tal caso, podríamos incrementar la cantidad a 500 épocas para analizar la diferencia:

epochs = 500 model.fit(training_data, training_labels, epochs=epochs)

Esto maximiza el potencial de aprendizaje del modelo, aunque a costa de un tiempo de computación más extenso.

¿Cómo visualizar el rendimiento del modelo?

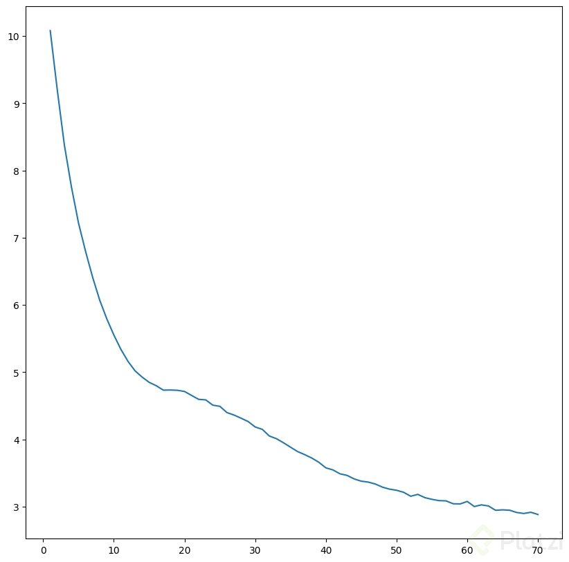
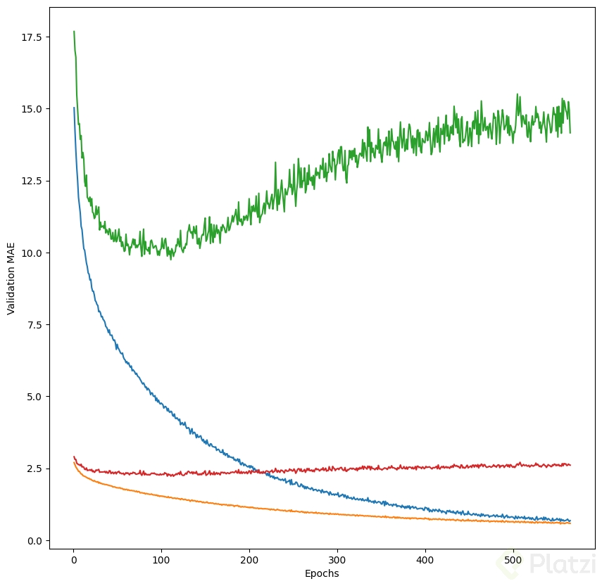
El uso de visualizaciones es una herramienta esencial para entender el comportamiento del modelo a lo largo del entrenamiento. Aquí es donde entra en juego la librería matplotlib:

import matplotlib.pyplot as plt plt.plot(range(1, len(all_mae_history)+1), all_mae_history) plt.xlabel('Épocas') plt.ylabel('Error Absoluto Medio') plt.show()

Estas gráficas son necesarias para identificar cuándo el modelo comienza a caer en overfitting (cuando el modelo empieza a aprender demasiado bien del conjunto de entrenamiento, perdiendo precisión en nuevos datos).

¿Cuáles son las mejores prácticas para evitar errores comunes?

  1. Escalar y normalizar datos: Garantiza que todas las características estén en el mismo rango y evita que las características de distinto orden de magnitud afecten el modelo desproporcionadamente.

  2. Utilizar validación cruzada: Mejor conocido como "cross-validation", este método ayuda a asegurar que los resultados sean consistentes, permitiendo que el modelo tenga un mejor rendimiento en conjuntos de datos nuevos.

  3. Métrica de éxito: Implementar el error absoluto medio (MAE) para evaluar constantemente la eficacia del modelo.

  4. Función de pérdida: Para minimizar el error, el error cuadrático medio (MSE) es fundamental en la función de pérdida del modelo.

¿Cómo interpretar los resultados de la gráfica del error?

La interpretación de la gráfica de error es crucial. En las primeras iteraciones, el error podría disminuir drásticamente, pero después de un punto particular (antes de la iteración 100 en este ejemplo), más iteraciones pueden ocasionar un aumento en el error por overfitting. Así que, ajustar el número de épocas puede ser crítico para optimizar el aprendizaje del modelo:

optimal_epochs = 85 model.fit(training_data, training_labels, epochs=optimal_epochs)

Finalmente, el análisis eficiente y visualización de los resultados en redes neuronales no solo facilita la interpretación de sus resultados, sino que también es una herramienta clave para ajustar los hiperparámetros del modelo de manera efectiva, evitándose el overfitting. Continúa practicando, consulta la comunidad para compartir éxitos y enfrenta el desafío de mejorar el MAE lo más posible. ¡Mucho éxito en tu aprendizaje continuo de machine learning!