Entrenamiento del modelo de clasificación múltiple

Clase 24 de 29Curso de Fundamentos de Redes Neuronales con Python y Keras

Contenido del curso

Fundamentos en la arquitectura de redes neuronales

Manejo de redes neuronales con Keras

Resumen

¿Cómo entrenamos un modelo de clasificación múltiple?

Entrenar un modelo de clasificación múltiple es un paso fundamental en el análisis de datos y aprendizaje automático. Este proceso permite categorizar noticias en diferentes temas, lo que es crucial para tareas de análisis en periodismo y en data science. A continuación, te guiaré por los pasos esenciales para entrenar y evaluar dicho modelo.

¿Cómo se configura el entrenamiento y evaluación del modelo?

  1. Preparación de los datos y configuración inicial:

    • Inicialmente, necesitamos un conjunto de datos que contenga las noticias y sus respectivas clasificaciones en 46 posibles temas.
    • Además, se divide el conjunto en subconjuntos de entrenamiento, validación y prueba.
  2. Entrenamiento del modelo:

    • Utilizamos el método model.fit() para entrenar el modelo, pasando como parámetros partial_x_train y partial_y_train.
    • Se recomienda comenzar con 30 épocas o iteraciones y usar lotes de datos de tamaño 512.
    • Valide el modelo usando un conjunto de datos como x_val y y_val.
  3. Visualización y comprensión del proceso de entrenamiento:

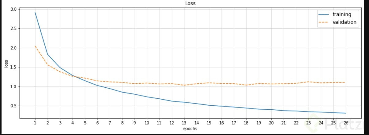
    • Guarde el historial de entrenamiento (history) para visualizar las métricas de pérdida y accuracy tanto de entrenamiento como de validación.
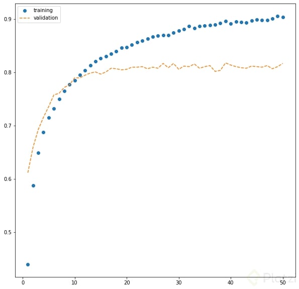
    • Si notas diferencias significativas entre estas métricas, es posible que el modelo esté sobreajustando (overfitting) a los datos de entrenamiento.

¿Cómo ajustamos nuestro modelo para un mejor rendimiento?

  1. Detección de 'overfitting':

    • Observe si la pérdida de entrenamiento disminuye casi a cero mientras que la de validación se mantiene alta.
    • El accuracy en entrenamiento puede llegar casi al 100% mientras la validación se estanca en niveles inferiores.
  2. Optimización de las épocas de entrenamiento:

    • Prueba reducir el número de épocas si observas que el accuracy en validación se estabiliza o mejora antes de llegar a la última época.
    • Al reducir de 30 a 9 épocas, podemos optimizar el rendimiento del modelo y el uso de recursos computacionales. Evalúa el modelo usando evaluate sobre datos de prueba x_test y y_test.

¿Cómo hacemos predicciones y qué significan?

  1. Predicciones concretas:

    • Ejecuta model.predict() sobre el conjunto x_test para obtener las predicciones.
    • Cada predicción estará asociada a una de las 46 posibles categorías mediante la función np.argmax(), seleccionando el índice con mayor probabilidad.
  2. Interpretación de las probabilidades:

    • Las probabilidades de las predicciones suman 1, reflejando la certeza del modelo en sus clasificaciones.

¿Cómo podemos mejorar el modelo?

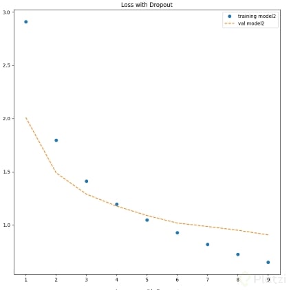
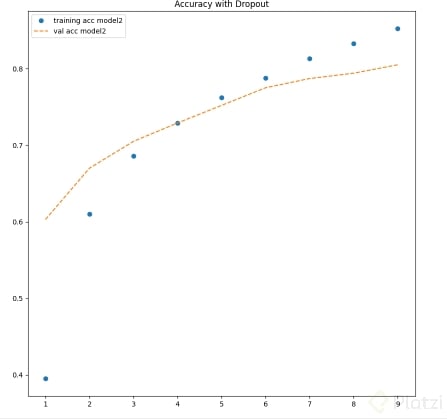
  1. Implementación de técnicas de regularización:

    • Considera usar técnicas como el "dropout" para reducir el overfitting.
    • Ajusta las capas del modelo, prueba modelos más pequeños o modifica la estructura para mejorar el generalizado.
  2. Monitoreo de gráficos y re-ejecución si es necesario:

    • A veces, los gráficos pueden fallar en plataformas como Google Colab. En caso de errores, simplemente vuelve a ejecutar las variables del modelo.

Aplica estas estrategias para optimizar el modelo y comparte tus resultados para enriquecimiento mutuo. ¡Continúa explorando y mejorando tus habilidades en machine learning!

      Entrenamiento del modelo de clasificación múltiple