Leyes de los radicales para simplificar expresiones algebraicas

Clase 4 de 21Curso de Álgebra y Funciones

Contenido del curso

Resumen

¿Te encuentras con una raíz en una expresión algebraica y sientes que es difícil de manejar? Esto ocurre generalmente al desconocer las leyes básicas de los radicales. Por suerte, al entender estas sencillas reglas, será más fácil y rápido solucionar cualquier operación algebraica. Veamos cómo utilizar adecuadamente estas leyes para simplificar radicales y exponentes.

¿Cómo convertir un radical a exponente?

Un radical con índice n siempre puede expresarse como una potencia de exponente fraccionario con denominador n. Esto se puede visualizar fácilmente con el siguiente ejemplo:

  • Raíz cuadrada de x:

[\sqrt{x} = x^{\frac{1}{2}}]

Si el radical tiene un exponente m dentro de la raíz, simplemente te quedará una fracción en la cual el exponente interior va al numerador y el índice de la raíz al denominador.

  • Ejemplo: Raíz cúbica de x^4:

[\sqrt[3]{x^4} = x^{\frac{4}{3}}]

¿Cómo multiplicar y dividir radicales?

Puedes agrupar radicales que se multiplican o dividen mediante una sola raíz, siempre que tengan el mismo índice. ¿Cómo se logra esto?

  • Multiplicación de raíz quinta de x por raíz quinta de y:

[\sqrt[5]{x}\cdot\sqrt[5]{y} = \sqrt[5]{xy}]

  • División de raíz cuarta de x entre raíz cuarta de y:

[\frac{\sqrt[4]{x}}{\sqrt[4]{y}} = \sqrt[4]{\frac{x}{y}} = \left(\frac{x}{y}\right)^{\frac{1}{4}}]

Ambas operaciones ejemplifican cómo estas agrupaciones facilitan las simplificaciones posteriores.

¿Cómo agrupar expresiones algebraicas con radicales y coeficientes iguales?

Cuando tienes coeficientes distintos multiplicados por la misma raíz, puedes agruparlos sacando factor común:

  • Ejemplo:

[5\sqrt[6]{x}+9\sqrt[6]{x} = (5+9)\sqrt[6]{x} = 14\sqrt[6]{x}]

Esta agrupación simplifica significativamente el proceso de cálculo y claridad algebraica.

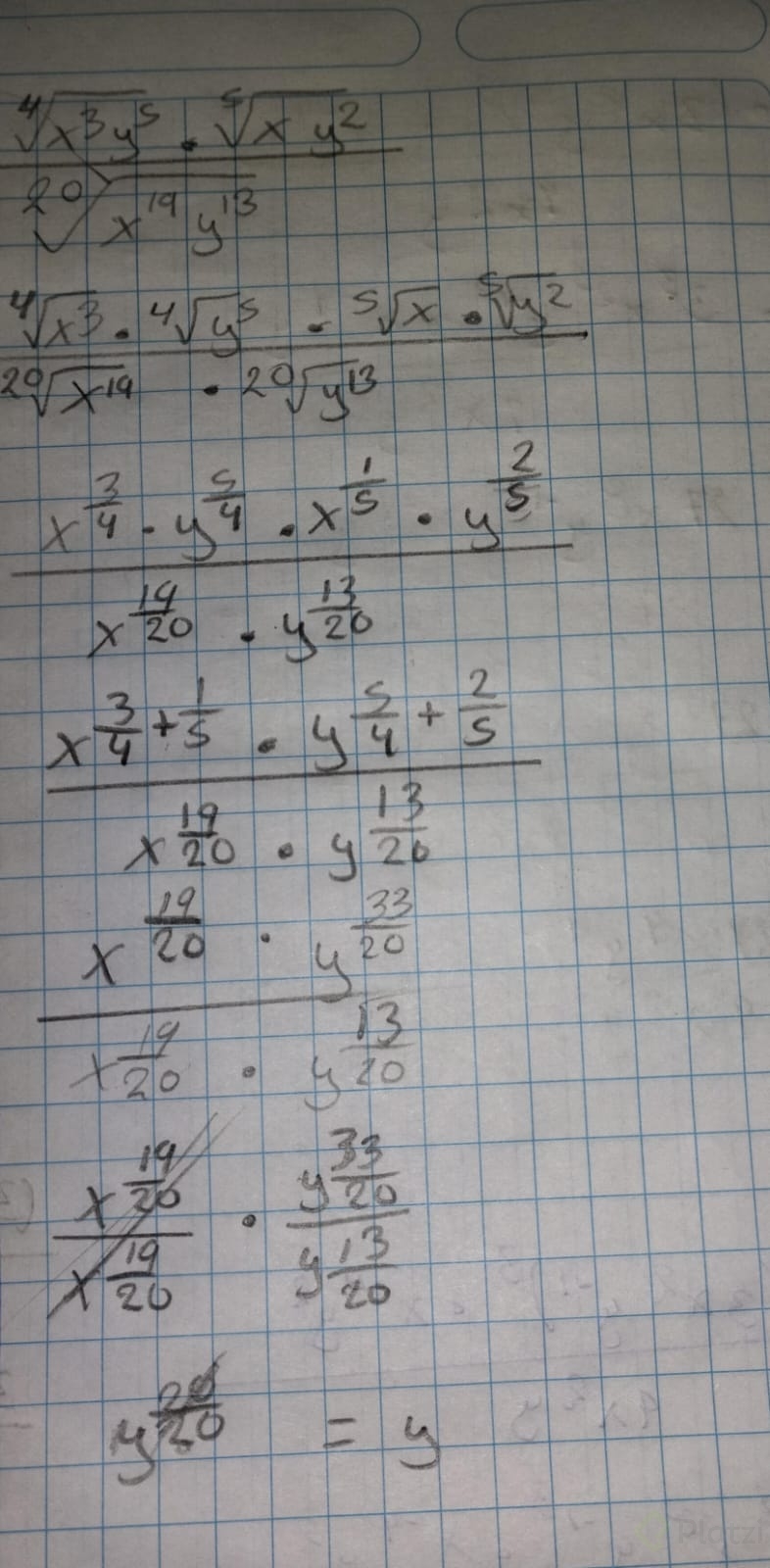
¿Cómo simplificar una expresión algebraica con múltiples radicales y exponentes?

Un caso más avanzado consiste en convertir radicales en exponentes fraccionarios, sumarlos o restarlos según las reglas de los exponentes, y finalmente simplificarlos a radicales nuevamente. Para entenderlo mejor, sigue estos pasos:

  1. Separa la multiplicación de raíces con el mismo índice.
  2. Convierte cada radical en exponente fraccionario.
  3. Junta bases iguales sumando exponentes.
  4. Realiza la suma o resta de fracciones hallando común denominador.
  5. Reduce los exponentes y vuelve al formato radical.

A continuación, un breve ejemplo:

  • [\frac{\sqrt[5]{x^3}\cdot\sqrt[5]{y^5}\cdot\sqrt[10]{x}\cdot\sqrt[10]{y^2}}{\sqrt[10]{x^{19}}\cdot\sqrt[10]{y^3}}]

Siguiendo los pasos anteriores, fácilmente llevarás esta expresión a una forma simplificada y eficiente.

¿Y tú ya te animas a aplicar estas leyes algebraicas? Comparte tus resultados y dudas en los comentarios.