Estructura y operaciones básicas con monomios

Clase 6 de 21Curso de Álgebra y Funciones

Contenido del curso

Resumen

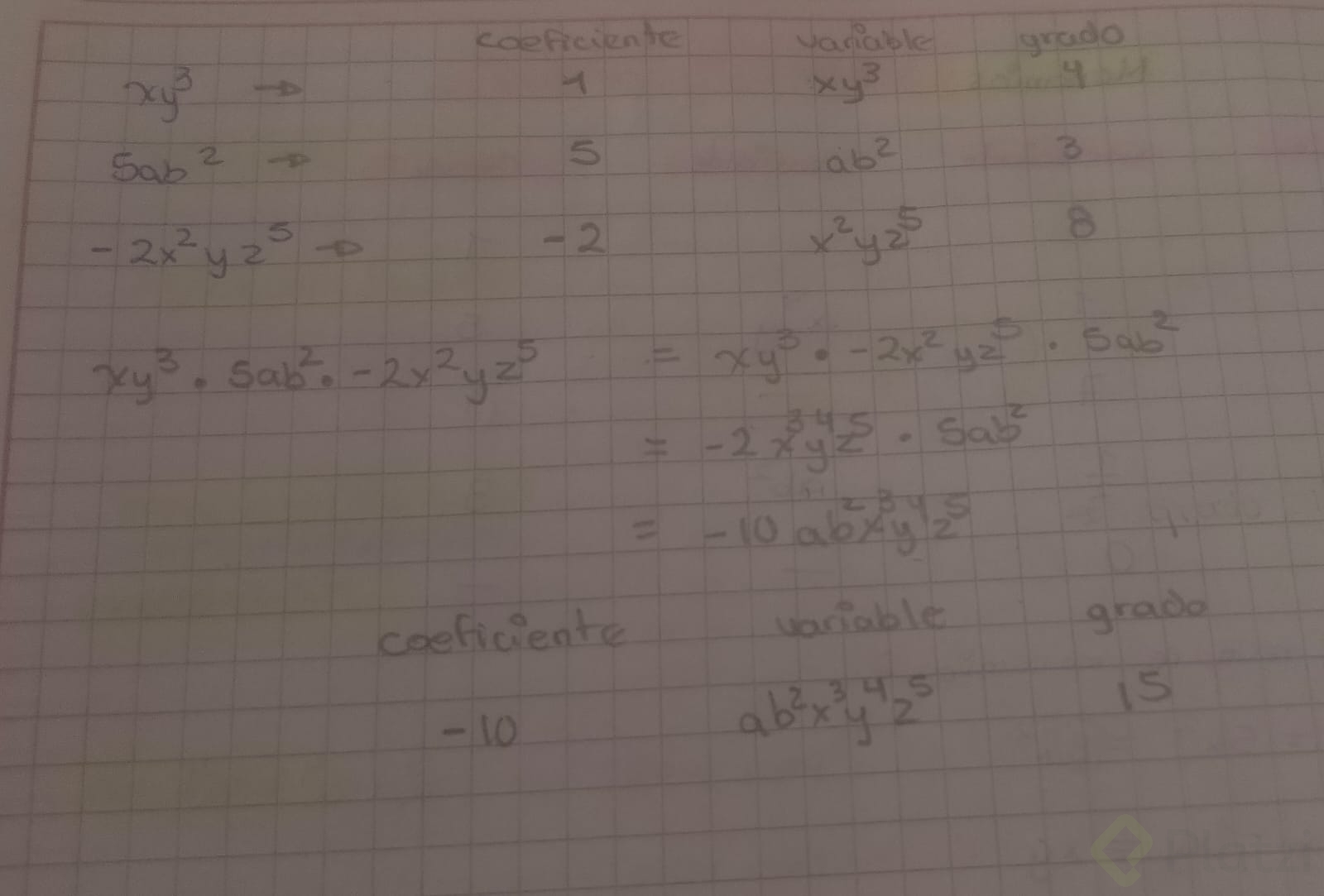
Dominar los monomios implica entender claramente su estructura y las operaciones fundamentales que puedes efectuar con ellos. Un monomio es una expresión algebraica sencilla que consta de un solo término, compuesto por un coeficiente multiplicado por una o más variables elevadas a distintos exponentes. Profundizar en ejemplos específicos aclara considerablemente cómo identificar los coeficientes, variables y grados de cualquier monomio.

¿Qué elementos componen un monomio?

Al estudiar monomios, es esencial reconocer claramente tres componentes básicos:

  • Coeficiente: número multiplicando directamente a la variable; por ejemplo, en el monomio 5x, el coeficiente es 5.
  • Variable: letra que representa valores indeterminados, como x o y en la expresión.
  • Grado: es el exponente numérico más alto de la variable incluida; en 5x, por ejemplo, el grado es 1.

Veamos rápidamente ejemplos para ilustrar estos conceptos:

  • Menos x^4 y: el coeficiente será -1, variables x⁴ y y¹, y el grado aquí corresponde a la suma de sus exponentes, resultando grado 5.
  • El monomio constante 7 no contiene variable explícita, siempre es considerado grado cero según propiedades algebraicas básicas.
  • El caso particular del monomio cero no tiene grado específico definido.

¿Cómo realizar sumas y restas con monomios?

Operar monomios en suma o resta implica combinar términos con variables idénticas y exponentes iguales. Al sumar 3x² + 5x², simplemente sumamos coeficientes obteniendo 8x². La resta trabaja igual, ajustándose al mismo principio de cálculo: restamos o sumamos coeficientes, manteniendo variables y exponentes sin cambiar.

¿Qué pasos seguir en multiplicaciones y divisiones de monomios?

Multiplicar y dividir monomios requiere atención en coeficientes y aplicación cuidadosa de leyes de exponentes:

  • En la multiplicación, multiplicamos coeficientes y sumamos exponentes de variables similares: 3x² × 2x³ nos da 6x⁵.
  • La división funciona restando exponentes de bases similares tras dividir coeficientes. Por ejemplo, 6x⁵ ÷ 2x² se simplifica a 3x³.

Entender estas reglas esenciales simplifica considerablemente la manipulación algebraica en temas más complejos como los polinomios.

Práctica interactiva: comprueba lo aprendido

Para afianzar estos conceptos, es bueno resolver ejercicios prácticos, aplicando lo revisado a distintos casos específicos. Te invitamos a participar activamente en esta tarea: identifica coeficientes, variables y grados, y multiplica monomios para obtener su simplificación. Comparte tus respuestas y dudas para continuar creciendo juntos en este aprendizaje matemático.