Factor común en expresiones algebraicas

Clase 8 de 21Curso de Álgebra y Funciones

Contenido del curso

Resumen

Factorizar una expresión algebraica consiste en expresarla como un producto, es decir, términos multiplicándose. El factor común es la base inicial para realizar esta factorización, permitiendo simplificar expresiones algebraicas identificando elementos repetidos en cada término. Aquí te enseñamos cómo dominar esta técnica con algunos ejemplos prácticos.

¿Qué es exactamente el factor común?

Podemos entender el factor común como un término repetido en cada elemento de una expresión algebraica. Este término repetido puede incluir variables, coeficientes numéricos o ambos.

Ejemplos simples de factor común

Imagina una expresión como esta:

  • ( x^6 + x^3 + x^2 )

Aquí observamos que cada término comparte ( x^2 ). Se reescribe la expresión factorizada, resultando en:

  • ( x^2 (x^4 + x + 1) )

La clave está en sacar el exponente más pequeño común de la variable, facilitando la simplificación.

Factor común con coeficientes numéricos

Cuando aparecen coeficientes numéricos, estos también pueden factorizarse junto a las variables. Veamos esta expresión:

  • ( -8x^3 + 12x^2 )

Hemos identificado correctamente a ( -4x^2 ) como el factor común y obtenemos:

  • ( -4x^2 (2x - 3) )

Esto sucede al observar coeficientes múltiplos entre sí y una variable común.

¿Cómo factorizar términos con múltiples variables y coeficientes?

Cuando enfrentamos términos variados, mantenemos nuestra estrategia:

  • Observamos coeficientes que tienen factores numéricos comunes.
  • Tomamos el menor exponente para variables repetidas.

Por ejemplo, dada la expresión:

  • ( 10a^2b - 5ab^2 + 15ab )

Factorizando obtenemos:

  • ( 5ab(2a - b + 3) )

Aquí consideramos variables (a, b) y también el coeficiente numérico 5 que es común para cada término de la expresión.

¿Qué es factor común por agrupación?

En expresiones más largas, conviene usar la agrupación de términos para facilitar la factorización. Por ejemplo:

  • ( 3x^2 - 6x + 2x - 4 )

Agrupamos términos similares, factor común en cada grupo, observamos:

  • ( 3x(x - 2) + 2(x - 2) )

Ahora que ambos términos tienen el mismo factor común ( (x - 2) ), podemos factorizar nuevamente:

  • ( (x - 2)(3x + 2) )

Factorización compleja por agrupación

Veamos otra expresión:

  • ( x^3 + x^2 - x - 1 )

Siguiendo el método, agrupamos primero por pares:

  • ( x^2(x + 1) - 1(x + 1) )

Luego extraemos el factor común ( (x + 1) ), terminando en:

  • ( (x + 1)(x^2 - 1) )

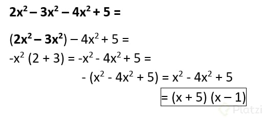
Un reto para ti: factorizar usando lo aprendido

La práctica consolidará tus conocimientos de factorización. Ahora es tu oportunidad, toma esta expresión y factorízala aplicando el factor común:

  • Comparte tu solución en los comentarios, esperamos con entusiasmo tu aporte y cualquier duda que puedas tener.