Leyes de los signos y exponentes en álgebra básica

Clase 3 de 21Curso de Álgebra y Funciones

Contenido del curso

Resumen

Dominar las leyes de los signos y exponentes en álgebra es fundamental para resolver expresiones matemáticas de manera eficaz y ordenada. Al estudiar estas reglas, podrás simplificar cualquier problema algebraico de forma sencilla, disminuyendo errores comunes que suelen ocurrir en multiplicaciones o divisiones.

¿Cuáles son las leyes de los signos en multiplicación y división?

En álgebra, la multiplicación y la división comparten la misma lógica para el manejo de los signos. Las combinaciones principales son:

  • Positivo por positivo: da positivo.
  • Positivo por negativo o negativo por positivo: da negativo.
  • Negativo por negativo: resulta positivo.

Esto aplica exactamente igual para las divisiones, cambiando únicamente la operación.

Ejemplo práctico de leyes de los signos

Considera el término 2x multiplicado por 2y. Si evaluamos diferentes combinaciones de signos:

  • Más por más: da positivo (4xy).
  • Más por menos o menos por más: da negativo (-4xy).
  • Menos por menos: da positivo (4xy).

Conocer y practicar esto garantiza que la base matemática sea sólida y menos propensa a errores.

¿Cuál es la importancia de las leyes de los exponentes?

Las leyes de los exponentes permiten simplificar y resolver operaciones algebraicas con rapidez y claridad. Entre las principales leyes están:

  • Multiplicación de bases iguales: se suman los exponentes (a^m * a^n = a^(m+n)).
  • División de bases iguales: se restan los exponentes (a^m / a^n = a^(m-n)).
  • Exponente elevado a otro exponente: se multiplican los exponentes ((a^m)^n = a^(m*n)).
  • Distribución de exponente en multiplicación: (ab)^n = a^n * b^n.
  • Distribución en división: (a/b)^n = a^n / b^n.
  • Cualquier base elevada a cero: siempre es uno (a^0 = 1 si a diferente de cero).
  • Exponente negativo: se convierte en positivo al llevarlo al denominador (a^-n = 1/a^n).
  • Exponente uno: la base se mantiene igual, sin cambios (a^1 = a).

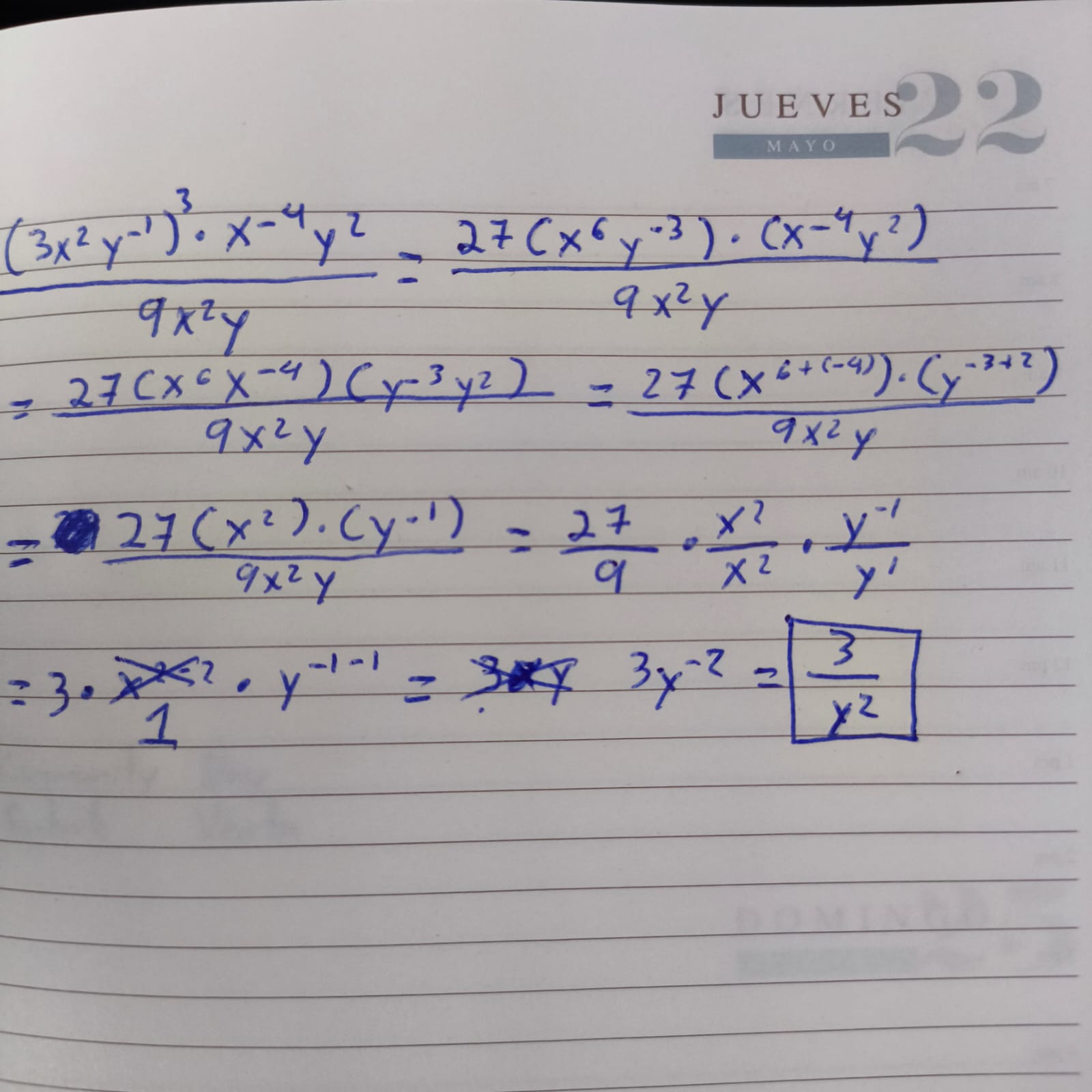
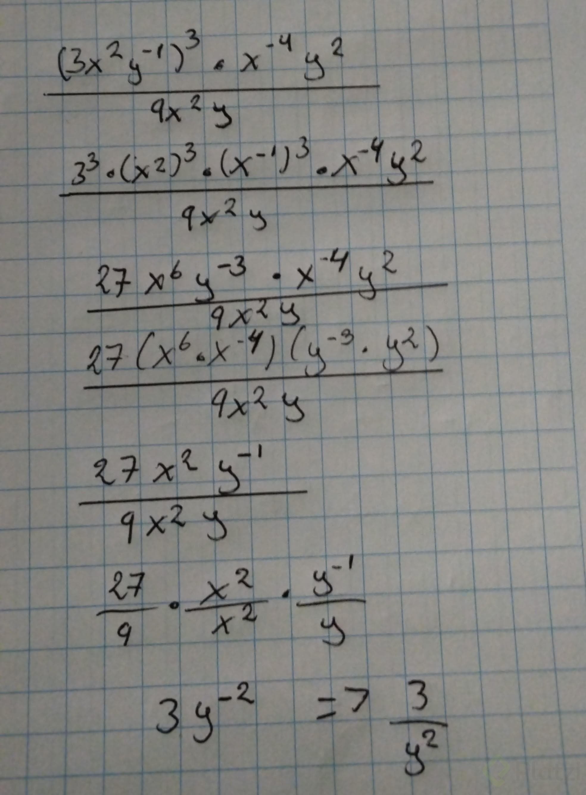
Aplicación práctica de las leyes de exponentes

Tomemos como ejercicio la simplificación de la siguiente expresión:

(2x^3y^2)^2 * x^-1y ------------------ -4x^2y^3

Al utilizar las leyes, puedes resolver fácilmente paso a paso:

  1. Distribuye exponentes dentro del paréntesis.
  2. Multiplica exponentes por exponentes.
  3. Agrupa términos semejantes.
  4. Simplifica agrupando coeficientes y variables en fracciones.

Finalmente, la expresión simplificada será:

- x³y²

Practicar estas leyes te ayudará a reducir la complejidad visual de diversas expresiones algebraicas y solucionarlas de manera más directa y eficiente.