Derivadas de constantes y potencias básicas
Clase 11 de 22 • Curso de Cálculo Diferencial
Contenido del curso
2. Límites en acción
3. Continuidad sin rollos
4. Derivadas desde cero
- 9

Diferencia entre recta secante y recta tangente en cálculo
03:03 min - 10

Qué es la derivada y cómo calcularla paso a paso
06:37 min - 11

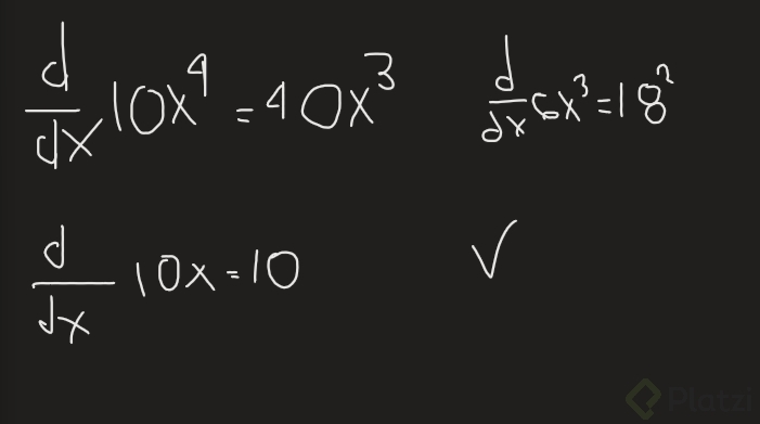
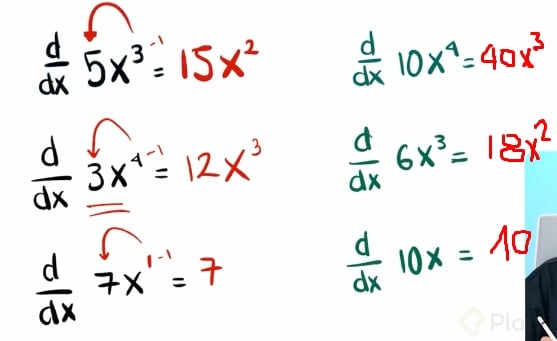
Derivadas de constantes y potencias básicas
Viendo ahora - 12

Derivación de funciones con suma, resta, multiplicación y división
06:32 min - 13

Derivadas de funciones trigonométricas: seno, coseno y tangente
04:09 min - 14

Derivadas de funciones exponenciales y logarítmicas
10:08 min
5. Composición y más
6. Aplicaciones reales
- 18

Posición, velocidad y aceleración con derivadas
12:02 min - 19

Cálculo de máximos y mínimos con derivadas
14:23 min - 20

Análisis de crecimiento y concavidad usando derivadas
06:45 min - 21

Regla de L'Hôpital para resolver límites con indeterminación 0/0
04:18 min - 22

Aplicaciones del cálculo diferencial en problemas reales
01:10 min