Qué es la derivada y cómo calcularla paso a paso

Clase 10 de 22Curso de Cálculo Diferencial

Contenido del curso

Resumen

Aprender qué es una derivada puede parecer complicado, pero en realidad se trata simplemente de un cambio muy pequeño. Si alguna vez te has preguntado cómo conocer exactamente tu velocidad segundo a segundo mientras conduces, pues justo ahí entra el concepto de derivada. La derivada es como observar detalladamente cada instante de un viaje en automóvil; no es un promedio general, sino un análisis preciso del cambio en cada punto específico.

¿Qué significa realmente la derivada de una función?

Una derivada describe cómo una función va cambiando en cada instante preciso. Imagínala como un velocímetro que muestra la velocidad en tiempo real:

  • Velocidad promedio: dividir la distancia recorrida entre el tiempo total.
  • Velocidad instante a instante (derivada): observar constantemente el velocímetro durante todo el trayecto.

Esta visión de precisión inmediata refleja exactamente lo que es una derivada, mostrándote lo que ocurre en un instante infinitamente pequeño.

¿Cómo entender el concepto matemático detrás de la derivada?

En matemáticas, la derivada utiliza el concepto de límites. La fórmula que expresa este concepto es:

[ f'(x) = \lim_{h \to 0} \frac{f(x+h)-f(x)}{h} ]

Es decir:

  • Tienes dos puntos, muy cercanos entre sí, evaluados en tu función original.
  • Observas cómo la distancia entre esos puntos (representada por "h") tiende a cero.
  • Este acercamiento al mínimo cambio nos indica la tasa instantánea del cambio de la función.

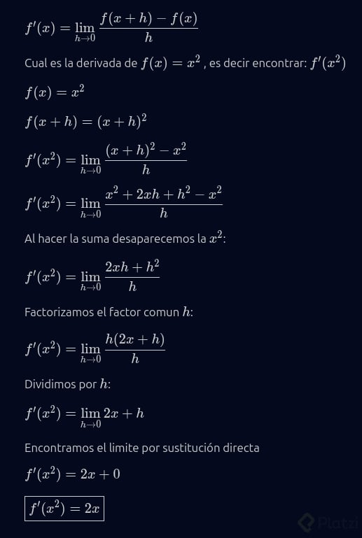
¿Cómo calcular paso a paso la derivada usando la definición?

Utilizando la función de ejemplo ( f(x) = x^2 ), calculamos la derivada siguiendo estos pasos:

  1. Definir ( f(x+h) ) sustituyendo en la función original: ((x+h)^2).
  2. Sustituir estos valores en la fórmula del límite: [ \frac{(x+h)^2 - x^2}{h} ]
  3. Desarrollar algebraicamente, obteniendo: [\frac{x^2 + 2xh + h^2 - x^2}{h}]
  4. Simplificar la expresión para obtener únicamente términos con "h": [\frac{2xh + h^2}{h}]
  5. Factorizar la "h" común y simplificar, resultando finalmente en: [\lim_{h \to 0}(2x + h)]
  6. Evaluar el límite directamente sustituyendo h igual a cero, dejando como derivada: ( 2x ).

Este procedimiento muestra claramente cada paso algebraico necesario para encontrar una derivada desde cero.

¿Es siempre necesario usar esta fórmula compleja?

No siempre necesitarás realizar todo este desarrollo algebraico extenso. La definición formal es fundamental para entender el concepto, pero existen reglas y fórmulas prácticas que simplifican el proceso. Estas técnicas adicionales las aborda con mayor detalle tu próxima clase.

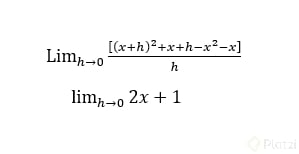
¿Te animas a practicar haciendo el ejercicio de derivar la función ( f(x) = x^2 + x )? Inténtalo y comparte tus hallazgos en los comentarios.