Derivadas de funciones trigonométricas: seno, coseno y tangente

Clase 13 de 22Curso de Cálculo Diferencial

Contenido del curso

Resumen

Dominar las derivadas de funciones trigonométricas como seno, coseno y tangente es sencillo siguiendo algunos pasos prácticos. Al aprender a identificar claramente los argumentos, puedes aplicar fácilmente las reglas básicas para cada derivada, lo que simplifica considerablemente los cálculos.

¿Cuáles son las derivadas fundamentales de las funciones trigonométricas?

Todas las funciones trigonométricas tienen derivadas bien establecidas y fáciles de memorizar, que se usan consistentemente en ejercicios prácticos:

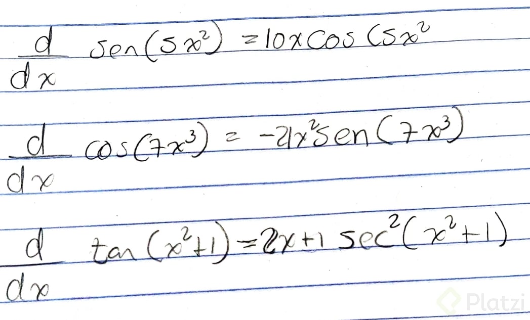
  • La derivada del seno es coseno del mismo argumento multiplicado por la derivada de dicho argumento.
  • La derivada del coseno es menos seno del argumento original multiplicado, también, por la derivada del argumento.
  • Para la tangente, la derivada se convierte en secante cuadrada del mismo argumento por la derivada del argumento.

¿Cómo identificar correctamente el argumento en una función trigonométrica?

El argumento en una función trigonométrica es lo que se encuentra dentro de ella. En derivadas, el argumento permanece constante en la primera parte del procedimiento y luego se multiplica por su propia derivada:

  • Argumento simple: si es solo una letra (x), la derivada es directa y fácil.
  • Argumento complejo: si contiene más elementos (3x³ o 2x), aplicas primero la regla básica trigonométrica y luego multiplicas por la derivada del argumento complejo.

¿Cómo resolver ejercicios prácticos paso a paso?

Para afirmar conocimientos, practica paso a paso usando ejemplos concretos:

Derivada del seno

  • Usa la fórmula: derivada de seno = coseno(argumento) × derivada del argumento.
  • Si el argumento es x, la derivada directamente es coseno(x).

Derivada del coseno

  • Usa la fórmula derivada de coseno = -seno(argumento) × derivada del argumento.
  • Ejemplo práctico: para coseno(3x³), obtienes inicialmente -seno(3x³), luego multiplicas por la derivada del argumento (9x²), siendo el resultado -9x² seno(3x³).

Derivada de la tangente

  • Aplica la fórmula derivada de tangente = secante²(argumento) × derivada del argumento.
  • Ejemplo sencillo: para tangente(2x), multiplicas primero por secante²(2x), luego por la derivada de 2x, que es 2, resultando en 2 secante²(2x).

Practicar estas reglas hace que se vuelvan naturales al abordar ejercicios. Aplica lo aprendido resolviendo tus ejercicios propuestos y comparte tus resultados en comentarios para seguir fortaleciendo la habilidad adquirida.