Interpretación de clusters de K-means para perfiles de jugadores

Clase 16 de 20Curso de Fundamentos de Machine Learning

Contenido del curso

Resumen

El análisis avanzado mediante el algoritmo k-means permite identificar perfiles precisos dentro de un equipo deportivo. Esta técnica, basada en aprendizaje no supervisado, agrupa a jugadores según estadísticas clave como goles, asistencias, pases completados y tiros al arco, ofreciendo herramientas prácticas para decisiones tácticas y estratégicas.

¿Qué es el análisis por clusters con K-Means?

El algoritmo k-means clasifica a los jugadores en grupos homogéneos según variables específicas. Para realizarlo:

  • Importamos la biblioteca pandas y las estadísticas del equipo.
  • Escogemos variables representativas como goles y asistencias.
  • Aplicamos k-means para agrupar a jugadores según estas métricas.

¿Cómo interpretar los clusters generados?

Cada cluster representa perfiles específicos del equipo. Para entenderlos bien:

  • Usamos groupby y mean que agrupan datos según la etiqueta del cluster y calculan promedios.
  • Obtenemos perfiles precisos, identificando rápidamente quienes son más efectivos para goles, asistencias o tiros al arco.

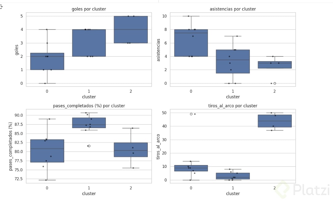
Visualizaciones avanzadas para mejor interpretación

La herramienta boxplot proporciona claridad mostrando mediana, cuartiles y valores atípicos:

  • Las gráficas nos indican variabilidad interna entre clusters.
  • Identificamos rápidamente grupos prominentes, entre delanteros o asistentes clave.

¿Cómo utilizar perfiles estratégicos en la toma de decisiones?

La interpretación de estos clusters permite implementar decisiones concretas:

  • Alineaciones inteligentes basadas en características reales.
  • Definición de roles específicos según estadísticas objetivas.
  • Diseño de entrenamientos adaptados para potenciar fortalezas y trabajar debilidades.

Interactividad para facilitar análisis con el equipo técnico

Usando widgets en Python y visualizaciones interactivas, podemos:

  • Crear selectores dinámicos para mostrar rápidamente jugadores específicos según cada cluster.
  • Facilitar reuniones estratégicas mostrando claramente datos relevantes sobre jugadores claves.

Esta metodología genera alineaciones más informadas, optimiza fichajes y mejora la planeación táctica de los partidos, posicionando al club frente a una gestión moderna e innovadora del juego.

Ahora es más sencillo tomar decisiones claras y argumentadas basadas en estadísticas del rendimiento real, revolucionando el manejo táctico y operativo de un equipo deportivo. ¿Has aplicado ya análisis similares en tu club o equipo? Comparte tu experiencia en los comentarios.