CursosEmpresasBlogLiveConfPrecios

Resolución de EDOs para Modelar Epidemias con Python

Clase 4 de 12 • Taller de Aplicación de Modelos Numéricos

Contenido del curso

Modelos matemáticos

  • 1
    Modelos Matemáticos: Conceptos Básicos y Aplicaciones

    Modelos Matemáticos: Conceptos Básicos y Aplicaciones

    04:24 min
  • 2
    Modelado de Sistemas Dinámicos con Funciones Matemáticas y Python

    Modelado de Sistemas Dinámicos con Funciones Matemáticas y Python

    04:29 min
  • 3
    Ecuaciones Diferenciales Ordinarias: Modelos de Epidemias

    Ecuaciones Diferenciales Ordinarias: Modelos de Epidemias

    05:09 min
  • 4
    Resolución de EDOs para Modelar Epidemias con Python

    Resolución de EDOs para Modelar Epidemias con Python

    Viendo ahora
  • 5
    Convección y Sistemas Dinámicos: El Modelo de Lorenz

    Convección y Sistemas Dinámicos: El Modelo de Lorenz

    04:05 min

Modelos númericos

  • 6
    Método de Euler: Solución Numérica de Ecuaciones Diferenciales

    Método de Euler: Solución Numérica de Ecuaciones Diferenciales

    03:19 min
  • 7
    Solución Numérica y Exacta de Ecuaciones Diferenciales

    Solución Numérica y Exacta de Ecuaciones Diferenciales

    03:54 min

Sistemas caóticos

  • 8
    Comparación de Métodos: Runge-Kutta 4 vs Euler en Ecuaciones Diferenciales

    Comparación de Métodos: Runge-Kutta 4 vs Euler en Ecuaciones Diferenciales

    02:33 min
  • 9
    Resolución del Sistema de Lorenz con Método RK4

    Resolución del Sistema de Lorenz con Método RK4

    03:32 min

Modelos epidemiológicos

  • 10
    Modelo SIR: Simulación Numérica de Epidemias con RK4

    Modelo SIR: Simulación Numérica de Epidemias con RK4

    03:39 min
  • 11
    Modelos SIR y el Número Básico de Reproducción (R₀)

    Modelos SIR y el Número Básico de Reproducción (R₀)

    02:42 min
  • 12
    Modelado Epidemiológico con SIRD y Algoritmo de Evolución Diferencial

    Modelado Epidemiológico con SIRD y Algoritmo de Evolución Diferencial

    04:41 min
Tomar examen

Escuelas

  • Desarrollo Web
    • Fundamentos del Desarrollo Web Profesional
    • Diseño y Desarrollo Frontend
    • Desarrollo Frontend con JavaScript
    • Desarrollo Frontend con Vue.js
    • Desarrollo Frontend con Angular
    • Desarrollo Frontend con React.js
    • Desarrollo Backend con Node.js
    • Desarrollo Backend con Python
    • Desarrollo Backend con Java
    • Desarrollo Backend con PHP
    • Desarrollo Backend con Ruby
    • Bases de Datos para Web
    • Seguridad Web & API
    • Testing Automatizado y QA para Web
    • Arquitecturas Web Modernas y Escalabilidad
    • DevOps y Cloud para Desarrolladores Web
  • English Academy
    • Inglés Básico A1
    • Inglés Básico A2
    • Inglés Intermedio B1
    • Inglés Intermedio Alto B2
    • Inglés Avanzado C1
    • Inglés para Propósitos Específicos
    • Inglés de Negocios
  • Marketing Digital
    • Fundamentos de Marketing Digital
    • Marketing de Contenidos y Redacción Persuasiva
    • SEO y Posicionamiento Web
    • Social Media Marketing y Community Management
    • Publicidad Digital y Paid Media
    • Analítica Digital y Optimización (CRO)
    • Estrategia de Marketing y Growth
    • Marketing de Marca y Comunicación Estratégica
    • Marketing para E-commerce
    • Marketing B2B
    • Inteligencia Artificial Aplicada al Marketing
    • Automatización del Marketing
    • Marca Personal y Marketing Freelance
    • Ventas y Experiencia del Cliente
    • Creación de Contenido para Redes Sociales
  • Inteligencia Artificial y Data Science
    • Fundamentos de Data Science y AI
    • Análisis y Visualización de Datos
    • Machine Learning y Deep Learning
    • Data Engineer
    • Inteligencia Artificial para la Productividad
    • Desarrollo de Aplicaciones con IA
    • AI Software Engineer
  • Ciberseguridad
    • Fundamentos de Ciberseguridad
    • Hacking Ético y Pentesting (Red Team)
    • Análisis de Malware e Ingeniería Forense
    • Seguridad Defensiva y Cumplimiento (Blue Team)
    • Ciberseguridad Estratégica
  • Liderazgo y Habilidades Blandas
    • Fundamentos de Habilidades Profesionales
    • Liderazgo y Gestión de Equipos
    • Comunicación Avanzada y Oratoria
    • Negociación y Resolución de Conflictos
    • Inteligencia Emocional y Autogestión
    • Productividad y Herramientas Digitales
    • Gestión de Proyectos y Metodologías Ágiles
    • Desarrollo de Carrera y Marca Personal
    • Diversidad, Inclusión y Entorno Laboral Saludable
    • Filosofía y Estrategia para Líderes
  • Diseño de Producto y UX
    • Fundamentos de Diseño UX/UI
    • Investigación de Usuarios (UX Research)
    • Arquitectura de Información y Usabilidad
    • Diseño de Interfaces y Prototipado (UI Design)
    • Sistemas de Diseño y DesignOps
    • Redacción UX (UX Writing)
    • Creatividad e Innovación en Diseño
    • Diseño Accesible e Inclusivo
    • Diseño Asistido por Inteligencia Artificial
    • Gestión de Producto y Liderazgo en Diseño
    • Diseño de Interacciones Emergentes (VUI/VR)
    • Desarrollo Web para Diseñadores
    • Diseño y Prototipado No-Code
  • Contenido Audiovisual
    • Fundamentos de Producción Audiovisual
    • Producción de Video para Plataformas Digitales
    • Producción de Audio y Podcast
    • Fotografía y Diseño Gráfico para Contenido Digital
    • Motion Graphics y Animación
    • Contenido Interactivo y Realidad Aumentada
    • Estrategia, Marketing y Monetización de Contenidos
  • Desarrollo Móvil
    • Fundamentos de Desarrollo Móvil
    • Desarrollo Nativo Android con Kotlin
    • Desarrollo Nativo iOS con Swift
    • Desarrollo Multiplataforma con React Native
    • Desarrollo Multiplataforma con Flutter
    • Arquitectura y Patrones de Diseño Móvil
    • Integración de APIs y Persistencia Móvil
    • Testing y Despliegue en Móvil
    • Diseño UX/UI para Móviles
  • Diseño Gráfico y Arte Digital
    • Fundamentos del Diseño Gráfico y Digital
    • Diseño de Identidad Visual y Branding
    • Ilustración Digital y Arte Conceptual
    • Diseño Editorial y de Empaques
    • Motion Graphics y Animación 3D
    • Diseño Gráfico Asistido por Inteligencia Artificial
    • Creatividad e Innovación en Diseño
  • Programación
    • Fundamentos de Programación e Ingeniería de Software
    • Herramientas de IA para el trabajo
    • Matemáticas para Programación
    • Programación con Python
    • Programación con JavaScript
    • Programación con TypeScript
    • Programación Orientada a Objetos con Java
    • Desarrollo con C# y .NET
    • Programación con PHP
    • Programación con Go y Rust
    • Programación Móvil con Swift y Kotlin
    • Programación con C y C++
    • Administración Básica de Servidores Linux
  • Negocios
    • Fundamentos de Negocios y Emprendimiento
    • Estrategia y Crecimiento Empresarial
    • Finanzas Personales y Corporativas
    • Inversión en Mercados Financieros
    • Ventas, CRM y Experiencia del Cliente
    • Operaciones, Logística y E-commerce
    • Gestión de Proyectos y Metodologías Ágiles
    • Aspectos Legales y Cumplimiento
    • Habilidades Directivas y Crecimiento Profesional
    • Diversidad e Inclusión en el Entorno Laboral
    • Herramientas Digitales y Automatización para Negocios
  • Blockchain y Web3
    • Fundamentos de Blockchain y Web3
    • Desarrollo de Smart Contracts y dApps
    • Finanzas Descentralizadas (DeFi)
    • NFTs y Economía de Creadores
    • Seguridad Blockchain
    • Ecosistemas Blockchain Alternativos (No-EVM)
    • Producto, Marketing y Legal en Web3
  • Recursos Humanos
    • Fundamentos y Cultura Organizacional en RRHH
    • Atracción y Selección de Talento
    • Cultura y Employee Experience
    • Gestión y Desarrollo de Talento
    • Desarrollo y Evaluación de Liderazgo
    • Diversidad, Equidad e Inclusión
    • AI y Automatización en Recursos Humanos
    • Tecnología y Automatización en RRHH
  • Finanzas e Inversiones
    • Fundamentos de Finanzas Personales y Corporativas
    • Análisis y Valoración Financiera
    • Inversión y Mercados de Capitales
    • Finanzas Descentralizadas (DeFi) y Criptoactivos
    • Finanzas y Estrategia para Startups
    • Inteligencia Artificial Aplicada a Finanzas
    • Domina Excel
    • Financial Analyst
    • Conseguir trabajo en Finanzas e Inversiones
  • Startups
    • Fundamentos y Validación de Ideas
    • Estrategia de Negocio y Product-Market Fit
    • Desarrollo de Producto y Operaciones Lean
    • Finanzas, Legal y Fundraising
    • Marketing, Ventas y Growth para Startups
    • Cultura, Talento y Liderazgo
    • Finanzas y Operaciones en Ecommerce
    • Startups Web3 y Blockchain
    • Startups con Impacto Social
    • Expansión y Ecosistema Startup
  • Cloud Computing y DevOps
    • Fundamentos de Cloud y DevOps
    • Administración de Servidores Linux
    • Contenerización y Orquestación
    • Infraestructura como Código (IaC) y CI/CD
    • Amazon Web Services
    • Microsoft Azure
    • Serverless y Observabilidad
    • Certificaciones Cloud (Preparación)
    • Plataforma Cloud GCP

Platzi y comunidad

  • Platzi Business
  • Live Classes
  • Lanzamientos
  • Executive Program
  • Trabaja con nosotros
  • Podcast

Recursos

  • Manual de Marca

Soporte

  • Preguntas Frecuentes
  • Contáctanos

Legal

  • Términos y Condiciones
  • Privacidad
  • Tyc promociones
Reconocimientos
Reconocimientos
Logo reconocimientoTop 40 Mejores EdTech del mundo · 2024
Logo reconocimientoPrimera Startup Latina admitida en YC · 2014
Logo reconocimientoPrimera Startup EdTech · 2018
Logo reconocimientoCEO Ganador Medalla por la Educación T4 & HP · 2024
Logo reconocimientoCEO Mejor Emprendedor del año · 2024
De LATAM conpara el mundo
YoutubeInstagramLinkedInTikTokFacebookX (Twitter)Threads

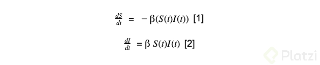
      En la clase pasada vimos que un sistema de EDOs para describir la propagación de una epidemia está dado, en su forma más simple por:

      CleanShot 2020-07-23 at 00.31.56.png

      Donde β es una constante cuyo significado revelaremos a continuación. Para poder resolver estas ecuaciones y obtener las funciones que nos permitirán predecir cómo evolucionará la epidemia usaremos métodos muy populares en matemáticas. Puedes profundizar en este curso de ecuaciones diferenciales aquí. En nuestro caso particular usaremos trucos poco comunes pero necesarios para esta situación específica.

      Revisemos la solución en un paso a paso detallado:

      1. Suponemos que la población total N es constante por lo que siempre se cumple que S(t) + I(t)=N. De esto despejamos así S(t) = N - I(t) y lo usamos para obtener una sola ecuación con una sola incógnita.

      2. De lo cual la segunda ecuación diferencial se convierte en:

      CleanShot 2020-07-23 at 00.33.46.png
      1. La ecuación que acabamos de obtener pertenece a una clase especial de ecuaciones denominada ecuaciones diferenciales de Bernoulli, y para estas podemos definir una nueva variable así:
      CleanShot 2020-07-23 at 00.35.13.png
      1. Donde el cambio para la derivada se traduce en y'(t) = -I'(t)/I(t)². Ahora, reemplazando todo lo anterior en la ecuación [3] nos permite obtener la siguiente ecuación lineal:
      CleanShot 2020-07-23 at 00.38.19.png
      1. La cual se resuelve fácilmente con el método de separación de variables para obtener una solución con la forma:
      CleanShot 2020-07-23 at 00.45.55.png
      1. Donde, A es una constante que se determina por la condición inicial del problema. En nuestro caso la condición inicial problema es la cantidad de personas infectadas al inicio de nuestro sistema. Lo usual es definir que al principio siempre existe al menos 1 persona infectada, y esto lo podemos definir así I(t) = 1

      2. Al reemplazar la condición inicial en la ecuación [5] obtenemos ahora:

      CleanShot 2020-07-23 at 00.48.53.png
      1. Finalmente, de la ecuación [6] podemos obtener también la función para el número de individuos susceptibles con la relación:
      CleanShot 2020-07-23 at 00.47.26.png

      Y así, hemos obtenido funciones que nos permiten saber cómo evolucionan las variables del sistema dinámico para cualquier valor del tiempo. Ahora, igual que hicimos con el ejercicio del péndulo, podemos escribir código en Python que nos permita visualizar las predicciones que se derivan de estas funciones.

      Primero importamos las librerías necesarias y definimos los parámetros y funciones de nuestro modelo:

      pasted image 0.png

      Así, hemos definido la población total con 100 personas y un solo individuo inicialmente infectado, mientras que el valor de β lo hemos definido de forma arbitraria, por ahora. Luego creamos listas de elementos que constituyen las tablas de datos sobre las cuales graficamos nuestras funciones:

      pasted image 0 (1).png

      En el ejemplo vemos que estamos tomando el tiempo desde 0 hasta 49 días y así mismo podemos ver la otra lista con el número de infectados total, día a día. Aquí lo extraño es ver que un día tenga 1.80 infectados y estos números no deben preocuparnos pues son simplemente aproximaciones que se derivan en que estamos usando una variable continua para aproximar un fenómeno que es discreto. Así por ejemplo, que en el día 2 haya 1.80 infectados y luego en el día 3 haya 2.42 infectados nos indica que aproximadamente le toma a la epidemia entre dos y tres días alcanzar un total de dos personas infectadas. Ahora, una visualización completa del comportamiento en el tiempo la obtenemos así:

      pasted image 0 (2).png

      Donde el eje horizontal es el tiempo en días y el eje vertical es el número de individuos. Varios hechos observamos de este gráfico:

      1. Después de aproximadamente 30 días, toda la población resulta afectada.
      2. El número de infectados siempre aumenta porque no estamos asumiendo dentro del modelo la posibilidad de recuperación de los individuos.

      Como ves, las predicciones que se derivan de este modelo son algo obvias pero totalmente coherentes a la luz de las simplificaciones que incluimos en nuestro modelo.

      Ahora te propongo un ejercicio adicional, calculando las soluciones de nuestro sistema para diferentes valores del parámetro β como se ve a continuación:

      pasted image 0 (3).png

      En este caso solo usamos las curvas de población de infectados. Lo que vemos es que a medida que el parámetro β crece , la curva alcanza el máximo en menos tiempo, esto indica que el parámetro β es una medida de la rapidez de propagación de la epidemia y ese es el modo en que debemos interpretar este número.

      El hecho de que podamos predecir el valor de una variable para cualquier instante de tiempo futuro o pasado es lo que entendemos por un sistema determinístico, ya que su evolución está completamente determinada por una regla claramente definida. Es así, como el lenguaje de las ecuaciones diferenciales, aplicadas a estas situaciones, nos permite codificar el concepto de determinismo en números concretos. En este link puedes ver el notebook completo con el código.

      Comentarios

        Roger Christian Cansaya Olazabal

        Roger Christian Cansaya Olazabal

        student•
        hace 5 años
        import numpy as np import matplotlib.pyplot as plt def i(i0, beta, t): return n*i0/(i0-(i0-n)*np.exp(-n*beta*t)) def s(i0, beta, t_array): return n-i(i0, beta, t_array) #def s(*args): return n-i(*args) if __name__=='__main__': #poblacion total fija n = 100.0 #Parametros modificables i0 = 1.0 beta = 0.003 t_array = np.arange(0, 50, 1) i_array = i(i0, beta, t_array) s_array = s(i0, beta, t_array) plt.plot(t_array, i_array, label='Infectados') plt.plot(t_array, s_array, label='Suceptibles') plt.grid(True) plt.legend() plt.show() fig = plt.figure(figsize=(16,8)) for color, beta in zip(['r','b','k','g'],[0.01, 0.005, 0.004, 0.002]): t_array = np.arange(0, 50, 1) i_array = i(i0, beta, t_array) s_array = s(i0,beta, t_array) plt.plot(t_array,i_array, c=color, label='infectados (beta={}'.format(beta)) plt.grid(True) plt.legend(fontsize=25) plt.xticks(fontsize=25) plt.yticks(fontsize=25) plt.show()
          Eduardo Monzón

          Eduardo Monzón

          student•
          hace 3 años

          Genial, gracias.

        Demetrio Cumplido Narciso

        Demetrio Cumplido Narciso

        student•
        hace 5 años

        Estoy disfrutando mucho este taller, repasando y aprendiendo cosas geniales.

        ¡Tengo una duda!

        En este problema, ¿cómo se elige el valor final de la rapidez de propagación (beta)? ¿Simplemente lo comparamos con los datos reales y decimos que ese valor se ajusta?

        Saludos Pacho :)

        Josue Noha Valdivia

        Josue Noha Valdivia

        student•
        hace 5 años

        Me llamó la antención el artificio de la ecuación de Bernoulli. Les comparto este video para ententer mejor este tipo de ecuaciones deferenciales: https://www.youtube.com/watch?v=Z-78QrHg2fM

          Augusto Borromeo

          Augusto Borromeo

          student•
          hace 5 años

          Gracias por el aporte!

        Lorena Mondragón

        Lorena Mondragón

        student•
        hace 5 años
        212951267_332126531848842_1942385700812336872_n.jpg
        DIEGO ALEXANDER ARISTIZABAL ARISTIZA

        DIEGO ALEXANDER ARISTIZABAL ARISTIZA

        student•
        hace 3 años

        Tengo cuaderno y lapiz para escribir, dibujar y graficar el ejercicio como lo voy entendiendo para darle forma a lo que estoy leyendo y me está ayudando a aprender y comprender lo que estoy haciendo.

        Andrés Cardona

        Andrés Cardona

        student•
        hace 5 años

        Hola, alguien me podría por fa explicar como se resolvió la ecuación diferencial de Bernoulli [3]? Es no me es muy clara la estructura. Gracias :)

          Daniel Felipe Montenegro

          Daniel Felipe Montenegro

          student•
          hace 5 años

          Buen día Andrés, En el caso de la ecuación [3] lo que se busca es encontrar una sustitución que permita reducir el orden de la ecuación a una ecuación lineal de primer orden. Esto se consigue gracias a un teorema el cual puedes encontrar mas detallado aquí. La sustitución que propone el teorema es la misma que se indica en el desarrollo del curso, es decir y(t) = 1 / I(t); una vez transformada la ecuación con la sustitución tenemos una nueva ecuación [4] de primer orden. A continuación te dejo mi desarrollo de la ecuación [4] por medio del método de variables separables:

          1. Reescribe las derivadas con la notación de Leibniz
          • (dy/dt) = β (1 - Ny) [4]
          1. Organiza la ecuación en términos de dy y dt
          • (dy / β (1 - Ny)) = dt
          1. Resuelve la integral de cada uno de los lados
          • (1/-Nβ) ln|1-Ny| = t + C
          1. Aplica exponencial a cada uno de los lados
          • (1 - Ny) ^ (1/-Nβ) = e ^ (t + C)
          1. Despeja y
          • 1 - Ny = ((e ^ t) (e ^ C)) ^ (-Nβ)
          • 1 - Ny = A (e ^ (-tNβ)) Nota: Vamos a llamar A a (e ^ C) ^ (-Nβ) ya que es una constante
          • Ny = (1 - A(e ^ (-Nβt)))
          • y = (1 - A(e ^ (-Nβt))) / N
          1. Deshacemos la sustitución original
          • I(t) = N / (1 - A(e ^ (-Nβt)))

          Espero haber respondido tu pregunta, hasta pronto :smile: ¡Nunca dejes de aprender!

          Andrés Cardona

          Andrés Cardona

          student•
          hace 5 años

          Muchas gracias @dafmontenegro ! por la explicación y el tiempo, me aclaraste la pregúnta :)

          Saludos!