Determinante cero: cuándo una matriz no es invertible

Clase 25 de 29Curso de Álgebra Lineal: Fundamentos y Aplicaciones

Contenido del curso

Sistemas de Ecuaciones Lineales

Resumen

Comprende con claridad cuándo una matriz es invertible y cómo usar el determinante como herramienta de diagnóstico para resolver sistemas lineales. Aquí verás la intuición geométrica clave, ejemplos numéricos y la fórmula práctica para invertir matrices 2×2 sin rodeos.

¿Por qué el determinante decide la invertibilidad?

El determinante mide cómo una transformación lineal escala el área o el volumen. Cuando el determinante es cero, la transformación “aplasta” el espacio a una dimensión menor y se pierde información de forma irreversible. En ese escenario, varios vectores distintos pueden ir a un mismo punto y no existe una única forma de volver atrás, así que no hay matriz inversa.

  • Regla fundamental: una matriz cuadrada es invertible si y solo si su determinante ≠ 0.
  • Si det(A) ≠ 0: existe A⁻¹, la transformación es reversible y el sistema AX = B tiene solución única.
  • Si det(A) = 0: no existe A⁻¹, la transformación pierde información y AX = B tiene infinitas soluciones o ninguna.

¿Cómo aplicar la regla con ejemplos en 2×2?

La intuición se refuerza con casos concretos. Observa cómo el determinante anticipa si puedes “deshacer” la transformación.

¿Qué pasa con una rotación de 90 grados?

Matriz A = [0 1; −1 0]. Su determinante es 1, así que no cambia el área y es invertible. De hecho, revertirla es tan simple como rotar −90 grados. La información se conserva.

¿Y si el plano se aplasta en una línea?

Matriz B = [1 0; 0 0]. Su determinante es 0, lo que significa que aplana el plano sobre el eje X. Se pierde todo lo que estaba en el eje Y y no es invertible.

¿Cómo se calcula la inversa de una 2×2?

Para una matriz 2×2 con entradas a, b, c, d:

  • La inversa es (1/(ad − bc)) multiplicado por la matriz que resulta de intercambiar la diagonal principal y negar los otros dos valores.
  • Ejemplo: para [3 2; 1 1], el determinante es 3·1 − 1·2 = 1. Al invertir la diagonal principal y negar los fuera de la diagonal, se obtiene la inversa [1 −2; −1 3]. Multiplicar esta inversa por la original devuelve la matriz identidad.

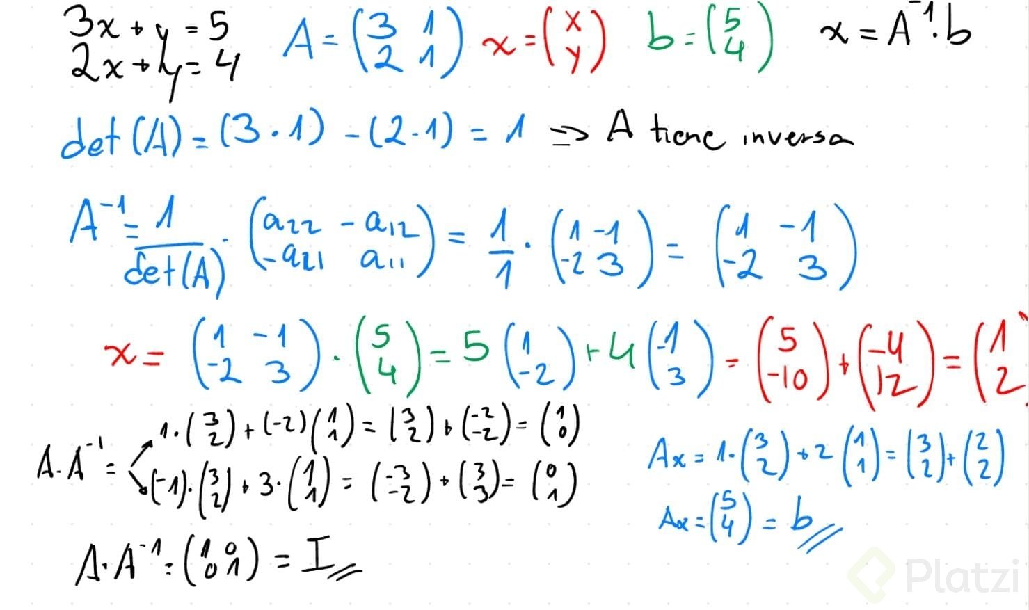
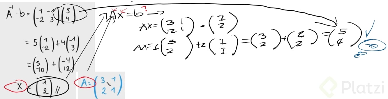
¿Cómo resolver AX = B con la inversa?

Usa el determinante como diagnóstico antes de todo. Si es distinto de cero, invierte y resuelve.

  • Desglosa el sistema en AX = B: A son los coeficientes, X las incógnitas y B las constantes.
  • Calcula det(A) para confirmar que A es invertible.
  • Halla A⁻¹ con la regla de 2×2 y luego computa X = A⁻¹B con producto punto.
  • Ejemplo: 3x + y = 5 y 2x + y = 4. El determinante es 1, por lo que existe inversa y el sistema tiene solución única: x = 1, y = 2. Verifica multiplicando A por el vector solución para recuperar B.

Habilidad que fortaleces aquí: interpretar el determinante como prueba de reversibilidad, aplicar la fórmula de la inversa 2×2, reconocer cuándo un sistema AX = B tiene solución única y validar resultados con la identidad y el producto punto. ¿Te animas a repetir los cálculos y compartir tus resultados o dudas en los comentarios?