Gram-Schmidt: base torcida a ortonormal

Clase 21 de 29Curso de Álgebra Lineal: Fundamentos y Aplicaciones

Contenido del curso

Sistemas de Ecuaciones Lineales

Resumen

Domina el proceso de Gram-Schmidt con un ejemplo claro en R2 y transforma cualquier base “torcida” en una base ortonormal. Aquí verás cómo usar la proyección, el producto punto, la norma y la normalización para simplificar cálculos de coordenadas sin resolver sistemas de ecuaciones.

¿Qué es una base ortonormal y por qué simplifica los cálculos?

Una base es un conjunto de vectores linealmente independientes que generan un espacio. Una base ortonormal es la base ideal: sus vectores son ortogonales (producto punto 0) y unitarios (norma 1). La base estándar con i sombrerito = (1, 0) y j sombrerito = (0, 1) cumple que i·j = 0 y ||i|| = ||j|| = 1, por lo que es ortonormal. Con esta base, las proyecciones y las coordenadas se calculan en un paso.

  • Trabajar con base ortonormal reduce cuentas.
  • El producto punto da coordenadas directas.
  • Se evita resolver sistemas de ecuaciones.

¿Cómo aplicar el proceso de Gram-Schmidt paso a paso en R2?

Partimos de una base “torcida” en R2: v1 = (3, 1) y v2 = (2, 2). Convertiremos este par en una base ortonormal Q1, Q2. La idea: construir vectores ortogonales u1, u2 y luego normalizarlos.

¿Cómo se calcula la proyección con producto punto y norma?

  • Definimos u1 = v1 = (3, 1).
  • Proyectamos v2 sobre u1: proy_{u1}(v2) = [(v2·u1)/(||u1||^2)] u1.
  • Producto punto: v2·u1 = (2, 2)·(3, 1) = 6 + 2 = 8.
  • Norma al cuadrado: ||u1||^2 = 3^2 + 1^2 = 10.
  • Proyección: (8/10) u1 = 0.8 · (3, 1) = (2.4, 0.8).

¿Cómo se obtiene el segundo vector ortogonal u2?

  • Restamos la proyección: u2 = v2 − proy_{u1}(v2) = (2, 2) − (2.4, 0.8) = (−0.4, 1.2).
  • Verificación de ortogonalidad: u1·u2 = (3, 1)·(−0.4, 1.2) = −1.2 + 1.2 = 0. Son ortogonales.

¿Cómo se normalizan u1 y u2 para lograr Q1 y Q2?

  • Normas: ||u1|| = √10. ||u2|| = √(0.16 + 1.44) = √1.6.
  • Normalización: Q1 = u1/||u1|| = (3/√10, 1/√10). Q2 = u2/||u2|| = (−0.4/√1.6, 1.2/√1.6).

Resultados clave.

  • Base ortogonal: u1 = (3, 1), u2 = (−0.4, 1.2).
  • Base ortonormal: Q1 = (3/√10, 1/√10), Q2 = (−0.4/√1.6, 1.2/√1.6).
  • Ambas bases generan el mismo R2; solo cambia el sistema de coordenadas.

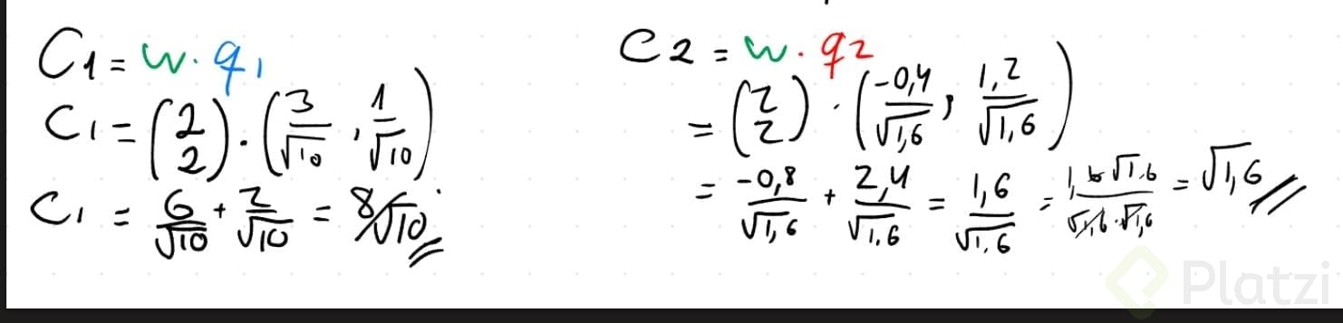
¿Cómo una base ortonormal acelera las coordenadas y por qué importa?

Con una base ortonormal, las coordenadas se obtienen con producto punto. Si W = (5, 3):

  • En la base estándar: C1 = W·i sombrerito = (5, 3)·(1, 0) = 5. C2 = W·j sombrerito = (5, 3)·(0, 1) = 3. No hay que resolver combinaciones lineales.
  • En la base Q1, Q2: las coordenadas son (W·Q1, W·Q2). Mismo método, mismo atajo.

Esto importa porque elegir una base mejor simplifica problemas reales: describir movimientos con ejes eficientes, descomponer una señal en frecuencias, o extraer patrones en datos en estadística y machine learning. Cambias el sistema de ejes, no el “universo” que describes.

¿Te animas a proyectar W = (2, 2) sobre Q1 y Q2 y compartir las coordenadas? Escribe tus resultados y cómo verificaste la ortonormalidad con el producto punto.