Suma, resta y multiplicación de vectores

Clase 3 de 29Curso de Álgebra Lineal: Fundamentos y Aplicaciones

Contenido del curso

Sistemas de Ecuaciones Lineales

Resumen

Domina las operaciones básicas de álgebra lineal con vectores y gana intuición geométrica inmediata. Aquí entenderás cómo funcionan la suma, la resta y la multiplicación por escalar, cómo aplicarlas con la regla del paralelogramo, y qué propiedades las hacen predecibles y útiles en contextos como física, navegación, diseño gráfico y videojuegos.

¿Qué es la suma de vectores y cómo se interpreta?

La suma combina movimientos para obtener un único vector resultante. Requisito clave: mismo número de componentes. Se suma cada componente con su correspondiente y, geométricamente, se “encadenan” instrucciones de movimiento.

¿Cuál es la regla de componentes y el ejemplo u=(2,1), v=(1,3)?

  • Regla: suma componente a componente.
  • Ejemplo: u=(2,1), v=(1,3) ⇒ u+v=(2+1, 1+3)=(3,4).
  • Resultado: u+v=(3,4).
  • Interpretación: seguir u y luego v equivale a la diagonal del paralelogramo desde el origen hasta el punto final.

¿Qué propiedades tiene la suma de vectores?

  • Conmutativa: u+v = v+u. El orden no cambia el resultado.
  • Asociativa: (u+v)+w = u+(v+w). Se pueden agrupar sumas.
  • Elemento neutro: u+0 = u. El vector cero no altera el resultado.

¿Dónde se aplica la suma en física y navegación?

  • Fuerzas: sumar dos vectores de fuerza da la fuerza resultante que mueve al objeto.
  • Rutas: combinar vectores de desplazamiento (por ejemplo, norte y este) da la ruta directa del inicio al destino.

¿Cómo funciona la resta de vectores y el vector negativo?

La resta encuentra la diferencia entre dos movimientos o posiciones. Es una extensión de la suma: u−v = u + (−v), donde el vector negativo invierte la dirección del original.

¿Cómo calcular u − v paso a paso?

  • Regla: resta componente a componente.
  • Ejemplo: u=(2,1), v=(1,3) ⇒ u−v=(2−1, 1−3)=(1, −2).
  • Geometría: sumar −v (que invierte la dirección de v) y trazar la diagonal desde el origen.
  • Resultado: u−v=(1, −2).

¿Qué propiedad clave cumple la resta?

  • No es conmutativa: u−v ≠ v−u. Aquí el orden sí importa.

¿Para qué sirve en trayectorias y posiciones?

  • Entre dos puntos A y B: el vector B−A indica la dirección y distancia exactas para ir del origen A al destino B.

¿Qué hace la multiplicación por escalar en un vector?

Cambia la magnitud y, según el signo, también la dirección. Regla esencial: multiplica cada componente por el número escalar.

¿Cómo aplicar la regla con u y alfa=3?

  • Dado u=(2,1) y α=3: α·u=3·(2,1)=(3·2, 3·1)=(6,3).
  • Efecto: el vector resultante es el triple de grande y mantiene la misma dirección.

¿Qué cambia con escalares positivos y negativos?

  • α>1: estira el vector (aumenta la magnitud).
  • 0<α<1: encoge el vector (disminuye la magnitud).
  • α<0: invierte la dirección y escala la magnitud (por ejemplo, −3 triplica y voltea el vector).

¿Qué propiedades algebraicas cumple y por qué importan?

  • Conmutativa: α·u = u·α. Intercambiar orden no altera el resultado.
  • Asociativa: α·(β·u) = (αβ)·u. Se puede combinar primero escalares.
  • Distributiva con la suma: α·(u+v) = α·u + α·v. Permite escalar resultados parciales.
  • Uso práctico: ajustar escala o intensidad de magnitudes con dirección. En diseño gráfico y videojuegos, escalar posiciones o velocidades; con −1, invertir una dirección de movimiento o fuerza.

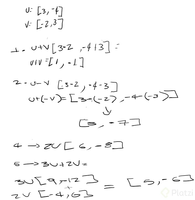
Reto de práctica: declara u=(3, −4) y v=(−2, 3) y resuelve.

  • u+v.
  • u−v.
  • 2·u.
  • 3·u + 2·v.

Comparte cómo lo resolviste, ya sea de forma algebraica o con construcción geométrica usando la regla del paralelogramo. ¿Qué observas sobre dirección y magnitud en cada caso?