Diagonalización: eigenvectores simplifican matrices

Clase 29 de 29Curso de Álgebra Lineal: Fundamentos y Aplicaciones

Contenido del curso

Sistemas de Ecuaciones Lineales

Resumen

Domina la diagonalización de matrices con una explicación clara y directa: cómo los eigenvectores y el cambio de base convierten transformaciones complejas en simples escalamientos. Verás la ecuación clave A = P · D · P inversa, entenderás la regla de oro de las columnas y aplicarás el método a un ejemplo concreto para calcular potencias de A con eficiencia.

¿Qué es la diagonalización y por qué simplifica una transformación?

La idea central es traducir una transformación al “lenguaje ideal” de los eigenvectores. En la base estándar, una matriz puede rotar, estirar e inclinar; en la base de sus eigenvectores, la misma transformación se reduce a escalamientos independientes.

  • En la base de eigenvectores, cada vector base V1, V2 se estira por sus eigenvalores λ1, λ2.
  • La matriz que describe esa acción es diagonal: D = diag(λ1, λ2). Solo escala. No rota ni inclina.
  • La regla de oro: las columnas de una matriz dicen a dónde van los vectores de la base estándar. En este lenguaje, e1 → (λ1, 0) y e2 → (0, λ2).
  • La traducción completa es: A = P · D · P⁻¹, donde P tiene como columnas los eigenvectores y D coloca los eigenvalores en la diagonal.

¿Cómo se construyen P, D y P inversa paso a paso?

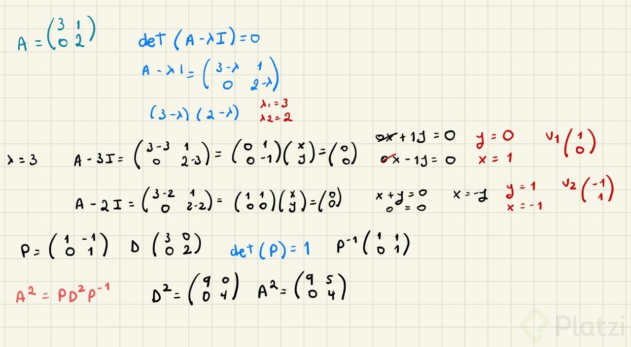
Trabajemos con A = [[3, 0], [1, 2]]. El objetivo es identificar P, D y P inversa y verificar que A = P · D · P inversa.

  • Eigenvalores: λ1 = 3 y λ2 = 2.
  • Matriz diagonal: D = [[3, 0], [0, 2]].
  • Matriz de cambio de base: P = [[1, 0], [1, -1]] con columnas que son eigenvectores de A.
  • Determinante de P: det(P) = −1. Por la fórmula 2×2, P inversa = P (P es involutoria).
  • Sustitución: A = P · D · P inversa. La multiplicación devuelve [[3, 0], [1, 2]], confirmando la igualdad y la diagonalización de A.

Claves prácticas del proceso.

  • Identifica eigenvalores y eigenvectores primero.
  • Construye P con eigenvectores como columnas.
  • Coloca los eigenvalores en la diagonal de D.
  • Calcula P inversa (usa determinante y adjunta en 2×2).
  • Verifica A = P · D · P inversa.

¿Para qué sirve al calcular potencias de A con diagonalización?

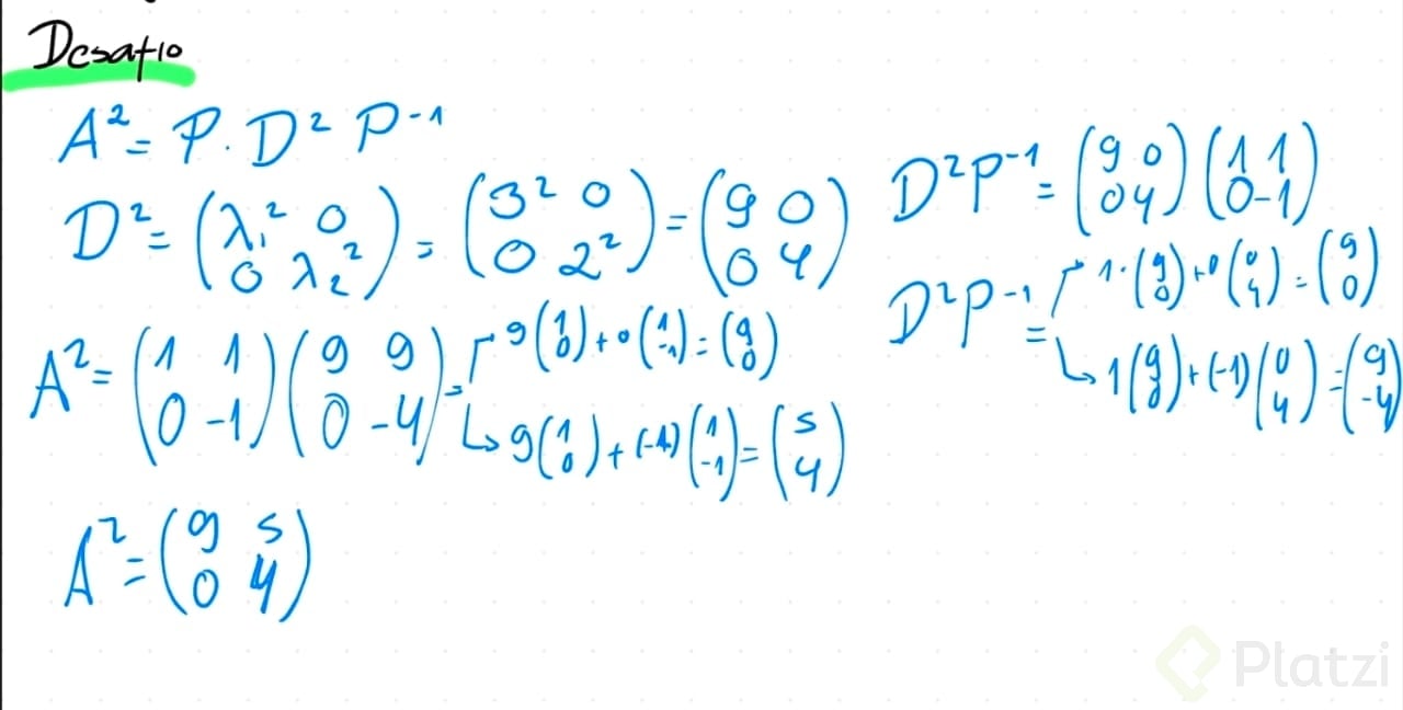
Una aplicación muy útil es acelerar el cálculo de potencias de matrices. Con A = P · D · P⁻¹, se obtiene:

  • Para A²: A² = (P · D · P⁻¹) · (P · D · P⁻¹) = P · D² · P⁻¹, porque P⁻¹ · P = I (identidad).
  • En general: A^k = P · D^k · P⁻¹.
  • Ventaja: elevar al exponente una matriz diagonal es sencillo; basta con elevar cada entrada de la diagonal: D^k = diag(λ1^k, λ2^k).

Te queda el ejercicio sugerido: usa A = [[3, 0], [1, 2]] y calcula A² con D² = diag(3², 2²), luego multiplica por P y P inversa.

¿Cuándo es diagonalizable una matriz nxn?

  • Es diagonalizable si y solo si tiene n eigenvectores linealmente independientes.
  • Caso ideal: si tiene n eigenvalores distintos, sus eigenvectores son independientes y la matriz es diagonalizable.
  • Si hay eigenvalores repetidos, podría no haber suficientes eigenvectores para formar la base (P), y entonces no se puede diagonalizar.

La mirada de la geometría y la estructura te permite ver sistemas y no problemas aislados. Desde videojuegos hasta ingeniería y análisis de datos, el álgebra lineal abre puertas. ¿Qué transformarías o qué potencia A^k te gustaría calcular a continuación? Deja tu comentario y comparte tu enfoque.