Estimación Paramétrica y No Paramétrica en Ciencia de Datos

Clase 6 de 37Curso de Estadística Inferencial con R

Contenido del curso

Teoría

Simulación

Resumen

¿Qué es el caso paramétrico en modelado de datos?

Iniciar en el mundo de la ciencia de datos requiere comprender varios conceptos fundamentales. Entre ellos, uno crucial es el de los modelos paramétricos. Estos modelos se emplean cuando conocemos la distribución de los datos a trabajar. Un modelo paramétrico se caracteriza por tener una ecuación definida, con un número finito de parámetros que debemos estimar.

Ejemplos de modelos paramétricos

  1. Distribución normal: Este es un clásico ejemplo de un modelo paramétrico. Posee dos parámetros esenciales: la media ((\mu)) y la varianza ((\sigma^2)). Conociendo estos dos valores, podemos describir completamente la distribución normal.

  2. Distribución uniforme: Otro ejemplo común, que también hemos visto previamente, se centra en los límites poblacionales mínimo (a) y máximo (b). De nuevo, solo necesitamos estimar estos dos parámetros.

  3. Regresión lineal simple: Aquí, el modelo se define con dos parámetros: (\beta_0) (intersección) y (\beta_1) (pendiente). Los hemos discutido anteriormente y forman la base de muchas aplicaciones en estadística y aprendizaje automático.

¿Por qué optar por un modelo paramétrico?

Cuando se tiene claridad sobre la distribución de los datos, los modelos paramétricos ofrecen ventajas significativas:

  • Simplicidad: Trabajar con un número finito de parámetros permite simplificar los cálculos y análisis.
  • Rapidez: Las computaciones suelen ser más directas y rápidas.
  • Interpretabilidad: Facilita la interpretación de los resultados, crucial para la toma de decisiones.

¿Cuándo utilizar un caso no paramétrico?

Por otro lado, hay situaciones en las que la distribución de los datos no es conocida o es demasiado compleja para modelarla con unos pocos parámetros. Aquí es donde el caso no paramétrico entra en juego, utilizando herramientas que permiten la estimación directa de funciones sin asumir una distribución predefinida.

Ejemplos de estimaciones no paramétricas

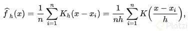
  1. Estimador Kernel: En vez de buscar parámetros específicos como (\mu) o (\sigma^2), este estimador se centra en aproximar la densidad de probabilidad de los datos. Su meta es coincidir lo más posible con la densidad teórica.

  2. Densidad acumulada empírica: Esta herramienta nos permite aproximar la función de distribución acumulada (CDF) de los datos. Aunque la CDF empírica resulta escalonada, ofrece una buena aproximación a la teórica.

  3. Estimación del valor esperado condicional: En casos prácticos, el valor esperado condicional teórico es desconocido. Sin embargo, mediante técnicas no paramétricas, podemos acercarnos a una buena estimación.

Beneficios del enfoque no paramétrico

  • Flexibilidad: Permiten modelar distribuciones complejas sin restricciones a distribuciones paramétricas específicas.
  • Adaptabilidad: Son ideales cuando el tamaño de la muestra es grande, ya que pueden adaptarse mejor a patrones en los datos.
  • Exploración abierta: Al no estar restringidos por ecuaciones predefinidas, ofrecen nuevas perspectivas para el análisis de datos.

El viaje a través del mundo de los modelos paramétricos y no paramétricos es esencial para una adecuada estimación y análisis de datos. Ambos enfoques ofrecen herramientas poderosas y cada uno posee sus propias ventajas según las características de los datos y el conocimiento previo que se tenga sobre ellos. Con estas bases, continuar explorando y aplicando estos conceptos nos permitirá aprovechar todo el potencial de la ciencia de datos.