Simulación de Convergencia de Estimadores con Diferentes Tamaños Muestrales

Clase 24 de 37Curso de Estadística Inferencial con R

Contenido del curso

Teoría

Simulación

Resumen

¿Cómo afecta el tamaño muestral a la convergencia de los estimadores en R?

Explorar el impacto del tamaño muestral en la convergencia de estimadores hacia parámetros poblacionales es una parte esencial de la estadística y la ciencia de datos. Este enfoque nos permite evaluar la precisión y la eficacia de nuestras estimaciones. En este contenido, te llevaré paso a paso por el proceso de simulación y análisis, utilizando software estadístico R, para visualizar cómo los estimadores se comportan a medida que cambia el tamaño de la muestra.

¿Cómo configuramos la simulación en R?

Para comenzar con la simulación, es crucial establecer ciertos parámetros iniciales:

  1. Tamaño Muestral Máximo: Determina el número máximo de datos en cada muestra (por ejemplo, 500).
  2. Número de Iteraciones: Un parámetro clave que decide cuántas veces se realizarán los cálculos para asegurar resultados consistentes (habitualmente 100 iteraciones).
  3. Media y Desviación Estándar Poblacional: Estos valores (por ejemplo, media = 5, desviación estándar = 3) sirven para definir la distribución de nuestros datos simulados.
  4. Vector de Tamaños Muestrales: Una secuencia que irá desde un tamaño muestral mínimo, por ejemplo, 10, hasta el tamaño muestral máximo. La longitud del vector será igual al número de iteraciones.
tamaño_muestral_maximo <- 500 numero_iteraciones <- 100 media_poblacional <- 5 desviacion_estandar_poblacional <- 3 tamaños_muestrales <- seq(10, tamaño_muestral_maximo, length.out = numero_iteraciones) %>% floor()

Estos elementos iniciales permiten establecer una base sólida para la simulación, asegurando que todos los pasos siguientes se puedan realizar de manera efectiva y sin complicaciones.

¿Cómo inicializamos vectores para el análisis?

Una vez que se establece la estructura de la simulación, necesitamos vectores para guardar los resultados del análisis, incluyendo:

  • Desviación estándar estimada.
  • Media estimada.
  • Diferencia cuadrática de la media.
  • Diferencia cuadrática de la desviación estándar.
desviacion_estimada <- vector("numeric", numero_iteraciones) media_estimada <- vector("numeric", numero_iteraciones) diferencia_cuadratica_media <- vector("numeric", numero_iteraciones) diferencia_cuadratica_desviacion <- vector("numeric", numero_iteraciones)

Estos vectores actuarán como receptores de los valores calculados durante cada iteración. De este modo, podemos almacenar y analizar los datos fácilmente.

¿Cómo implementamos el cálculo iterativo en un bucle for?

A continuación, pasamos al cálculo iterativo. Utilizamos un bucle for para recorrer el número de iteraciones y calcular los estimadores para cada tamaño de muestra:

for (i in 1:numero_iteraciones) { muestra <- rnorm(tamaños_muestrales[i], mean = media_poblacional, sd = desviacion_estandar_poblacional) media_estimada[i] <- mean(muestra) desviacion_estimada[i] <- sd(muestra) diferencia_cuadratica_media[i] <- (media_poblacional - media_estimada[i])^2 diferencia_cuadratica_desviacion[i] <- (desviacion_estandar_poblacional - desviacion_estimada[i])^2 }

Este bucle es crucial, ya que permite que las simulaciones se realicen automáticamente, lo cual es eficiente y evita errores manuales. La estimación de la media y desviación estándar para cada muestra, así como el cálculo de sus diferencias cuadráticas, son pasos fundamentales para analizar la convergencia.

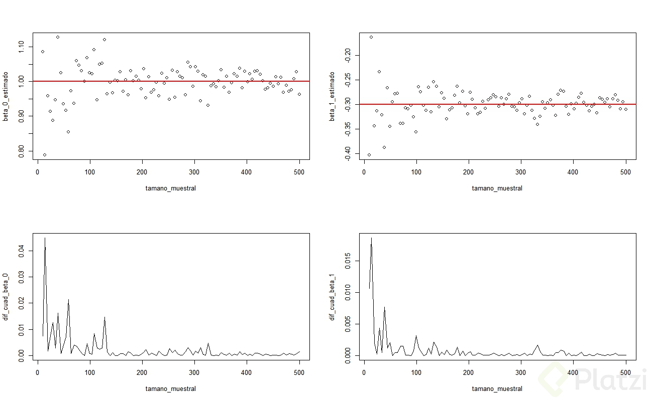
¿Qué revelan los gráficos sobre la convergencia?

El siguiente paso es utilizar gráficos para visualizar los resultados, lo cual ofrece una perspectiva clara de cómo los estimadores convergen hacia los valores reales a medida que el tamaño muestral aumenta.

  1. Gráfico de Media Estimada vs Tamaño Muestral:

    • Se observa que la media estimada se aproxima al valor real a medida que aumentamos el tamaño muestral.
    • Utilizamos una línea horizontal para indicar la media poblacional y resaltar la convergencia visualmente.
  2. Gráfico de Diferencia Cuadrática de la Media:

    • La diferencia cuadrática disminuye, demostrando que la precisión del estimador mejora con muestras más grandes.
  3. Comportamiento de la Desviación Estándar:

    • Observamos patrones similares para la desviación estándar, confirmando la tendencia de convergencia.

Cuando aumentamos el tamaño muestral a valores mayores, como 5000, notamos que la convergencia es más clara y las diferencias cuadráticas se estabilizan, lo que indica que un tamaño muestral de alrededor de 3000 podría ser suficiente para ciertas estimaciones.

Construir y analizar estos gráficos nos ayuda a comprender mejor cómo el tamaño muestral afecta a la efectividad de nuestras estimaciones en estadística y análisis de datos mediante R. Adentrarse en estas prácticas añade un valor significativo a la intuición estadística, fundamental en cualquier análisis de datos avanzado.