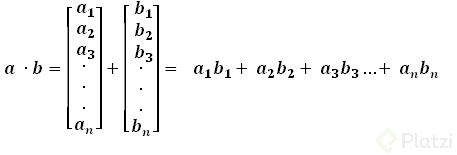
Producto punto
Clase 10 de 32 • Curso de Álgebra Lineal 2018
Contenido del curso
Sistemas lineales
Vectores
- 7

¿Qué es un vector?
06:24 min - 8

Operaciones básicas con vectores
08:12 min - 9

Ejercicio operaciones básicas
06:09 min - 10

Producto punto
Viendo ahora - 11

Producto cruz
08:40 min - 12

Ecuación de un plano
05:47 min - 13

Ejercicio ecuación de un plano
07:35 min - 14

Guía de instalación de Matlab
02:00 min - 15

Vectores en Matlab
10:51 min