CursosEmpresasBlogLiveConfPrecios

Suma de matrices y multiplicación por escalar

Clase 17 de 32 • Curso de Álgebra Lineal 2018

Contenido del curso

Introducción al Curso de Álgebra Lineal

  • 1
    Aprende sobre Álgebra Lineal con los cursos actualizados

    Aprende sobre Álgebra Lineal con los cursos actualizados

    00:12 min
  • 2
    Introducción

    Introducción

    02:14 min

Sistemas lineales

  • 3
    ¿Qué es un sistema lineal?

    ¿Qué es un sistema lineal?

    06:05 min
  • 4
    Solución de sistemas por método de eliminación

    Solución de sistemas por método de eliminación

    10:31 min
  • 5
    Solución por metodo Gauss

    Solución por metodo Gauss

    10:56 min
  • 6
    Solución por metodo Gauss Jordan

    Solución por metodo Gauss Jordan

    11:32 min

Vectores

  • 7
    ¿Qué es un vector?

    ¿Qué es un vector?

    06:24 min
  • 8
    Operaciones básicas con vectores

    Operaciones básicas con vectores

    08:12 min
  • 9
    Ejercicio operaciones básicas

    Ejercicio operaciones básicas

    06:09 min
  • 10
    Producto punto

    Producto punto

    07:35 min
  • 11
    Producto cruz

    Producto cruz

    08:40 min
  • 12
    Ecuación de un plano

    Ecuación de un plano

    05:47 min
  • 13
    Ejercicio ecuación de un plano

    Ejercicio ecuación de un plano

    07:35 min
  • 14
    Guía de instalación de Matlab

    Guía de instalación de Matlab

    02:00 min
  • 15
    Vectores en Matlab

    Vectores en Matlab

    10:51 min

Matrices

  • 16
    Introducción y tipo de matrices

    Introducción y tipo de matrices

    08:17 min
  • 17
    Suma de matrices y multiplicación por escalar

    Suma de matrices y multiplicación por escalar

    Viendo ahora
  • 18
    Multiplicación matricial

    Multiplicación matricial

    08:42 min
  • 19
    Matriz inversa

    Matriz inversa

    15:53 min
  • 20
    Matriz inversa metodo alternativo

    Matriz inversa metodo alternativo

    08:58 min
  • 21
    Factorización LU

    Factorización LU

    15:33 min
  • 22
    Matrices en Matlab

    Matrices en Matlab

    08:57 min

Transformaciones lineales

  • 23
    ¿Qué es una transformación lineal

    ¿Qué es una transformación lineal

    12:21 min
  • 24
    Reflexiones

    Reflexiones

    10:25 min
  • 25
    Comprensiones y expansiones

    Comprensiones y expansiones

    09:56 min
  • 26
    Cortes o desplazamientos

    Cortes o desplazamientos

    08:13 min
  • 27
    Rotaciones

    Rotaciones

    08:08 min

Determinantes

  • 28
    Cálculo de determinantes

    Cálculo de determinantes

    11:37 min
  • 29
    Determinantes por Cofactores

    Determinantes por Cofactores

    11:46 min
  • 30
    Geometria y propiedades del determinante

    Geometria y propiedades del determinante

    05:20 min
  • 31
    Regla de Cramer

    Regla de Cramer

    15:26 min
  • 32
    Solución de sistemas de 3 o más incógnitas en Matlab

    Solución de sistemas de 3 o más incógnitas en Matlab

    18:05 min
Tomar examen

Escuelas

  • Desarrollo Web
    • Fundamentos del Desarrollo Web Profesional
    • Diseño y Desarrollo Frontend
    • Desarrollo Frontend con JavaScript
    • Desarrollo Frontend con Vue.js
    • Desarrollo Frontend con Angular
    • Desarrollo Frontend con React.js
    • Desarrollo Backend con Node.js
    • Desarrollo Backend con Python
    • Desarrollo Backend con Java
    • Desarrollo Backend con PHP
    • Desarrollo Backend con Ruby
    • Bases de Datos para Web
    • Seguridad Web & API
    • Testing Automatizado y QA para Web
    • Arquitecturas Web Modernas y Escalabilidad
    • DevOps y Cloud para Desarrolladores Web
  • English Academy
    • Inglés Básico A1
    • Inglés Básico A2
    • Inglés Intermedio B1
    • Inglés Intermedio Alto B2
    • Inglés Avanzado C1
    • Inglés para Propósitos Específicos
    • Inglés de Negocios
  • Marketing Digital
    • Fundamentos de Marketing Digital
    • Marketing de Contenidos y Redacción Persuasiva
    • SEO y Posicionamiento Web
    • Social Media Marketing y Community Management
    • Publicidad Digital y Paid Media
    • Analítica Digital y Optimización (CRO)
    • Estrategia de Marketing y Growth
    • Marketing de Marca y Comunicación Estratégica
    • Marketing para E-commerce
    • Marketing B2B
    • Inteligencia Artificial Aplicada al Marketing
    • Automatización del Marketing
    • Marca Personal y Marketing Freelance
    • Ventas y Experiencia del Cliente
    • Creación de Contenido para Redes Sociales
  • Inteligencia Artificial y Data Science
    • Fundamentos de Data Science y AI
    • Análisis y Visualización de Datos
    • Machine Learning y Deep Learning
    • Data Engineer
    • Inteligencia Artificial para la Productividad
    • Desarrollo de Aplicaciones con IA
    • AI Software Engineer
  • Ciberseguridad
    • Fundamentos de Ciberseguridad
    • Hacking Ético y Pentesting (Red Team)
    • Análisis de Malware e Ingeniería Forense
    • Seguridad Defensiva y Cumplimiento (Blue Team)
    • Ciberseguridad Estratégica
  • Liderazgo y Habilidades Blandas
    • Fundamentos de Habilidades Profesionales
    • Liderazgo y Gestión de Equipos
    • Comunicación Avanzada y Oratoria
    • Negociación y Resolución de Conflictos
    • Inteligencia Emocional y Autogestión
    • Productividad y Herramientas Digitales
    • Gestión de Proyectos y Metodologías Ágiles
    • Desarrollo de Carrera y Marca Personal
    • Diversidad, Inclusión y Entorno Laboral Saludable
    • Filosofía y Estrategia para Líderes
  • Diseño de Producto y UX
    • Fundamentos de Diseño UX/UI
    • Investigación de Usuarios (UX Research)
    • Arquitectura de Información y Usabilidad
    • Diseño de Interfaces y Prototipado (UI Design)
    • Sistemas de Diseño y DesignOps
    • Redacción UX (UX Writing)
    • Creatividad e Innovación en Diseño
    • Diseño Accesible e Inclusivo
    • Diseño Asistido por Inteligencia Artificial
    • Gestión de Producto y Liderazgo en Diseño
    • Diseño de Interacciones Emergentes (VUI/VR)
    • Desarrollo Web para Diseñadores
    • Diseño y Prototipado No-Code
  • Contenido Audiovisual
    • Fundamentos de Producción Audiovisual
    • Producción de Video para Plataformas Digitales
    • Producción de Audio y Podcast
    • Fotografía y Diseño Gráfico para Contenido Digital
    • Motion Graphics y Animación
    • Contenido Interactivo y Realidad Aumentada
    • Estrategia, Marketing y Monetización de Contenidos
  • Desarrollo Móvil
    • Fundamentos de Desarrollo Móvil
    • Desarrollo Nativo Android con Kotlin
    • Desarrollo Nativo iOS con Swift
    • Desarrollo Multiplataforma con React Native
    • Desarrollo Multiplataforma con Flutter
    • Arquitectura y Patrones de Diseño Móvil
    • Integración de APIs y Persistencia Móvil
    • Testing y Despliegue en Móvil
    • Diseño UX/UI para Móviles
  • Diseño Gráfico y Arte Digital
    • Fundamentos del Diseño Gráfico y Digital
    • Diseño de Identidad Visual y Branding
    • Ilustración Digital y Arte Conceptual
    • Diseño Editorial y de Empaques
    • Motion Graphics y Animación 3D
    • Diseño Gráfico Asistido por Inteligencia Artificial
    • Creatividad e Innovación en Diseño
  • Programación
    • Fundamentos de Programación e Ingeniería de Software
    • Herramientas de IA para el trabajo
    • Matemáticas para Programación
    • Programación con Python
    • Programación con JavaScript
    • Programación con TypeScript
    • Programación Orientada a Objetos con Java
    • Desarrollo con C# y .NET
    • Programación con PHP
    • Programación con Go y Rust
    • Programación Móvil con Swift y Kotlin
    • Programación con C y C++
    • Administración Básica de Servidores Linux
  • Negocios
    • Fundamentos de Negocios y Emprendimiento
    • Estrategia y Crecimiento Empresarial
    • Finanzas Personales y Corporativas
    • Inversión en Mercados Financieros
    • Ventas, CRM y Experiencia del Cliente
    • Operaciones, Logística y E-commerce
    • Gestión de Proyectos y Metodologías Ágiles
    • Aspectos Legales y Cumplimiento
    • Habilidades Directivas y Crecimiento Profesional
    • Diversidad e Inclusión en el Entorno Laboral
    • Herramientas Digitales y Automatización para Negocios
  • Blockchain y Web3
    • Fundamentos de Blockchain y Web3
    • Desarrollo de Smart Contracts y dApps
    • Finanzas Descentralizadas (DeFi)
    • NFTs y Economía de Creadores
    • Seguridad Blockchain
    • Ecosistemas Blockchain Alternativos (No-EVM)
    • Producto, Marketing y Legal en Web3
  • Recursos Humanos
    • Fundamentos y Cultura Organizacional en RRHH
    • Atracción y Selección de Talento
    • Cultura y Employee Experience
    • Gestión y Desarrollo de Talento
    • Desarrollo y Evaluación de Liderazgo
    • Diversidad, Equidad e Inclusión
    • AI y Automatización en Recursos Humanos
    • Tecnología y Automatización en RRHH
  • Finanzas e Inversiones
    • Fundamentos de Finanzas Personales y Corporativas
    • Análisis y Valoración Financiera
    • Inversión y Mercados de Capitales
    • Finanzas Descentralizadas (DeFi) y Criptoactivos
    • Finanzas y Estrategia para Startups
    • Inteligencia Artificial Aplicada a Finanzas
    • Domina Excel
    • Financial Analyst
    • Conseguir trabajo en Finanzas e Inversiones
  • Startups
    • Fundamentos y Validación de Ideas
    • Estrategia de Negocio y Product-Market Fit
    • Desarrollo de Producto y Operaciones Lean
    • Finanzas, Legal y Fundraising
    • Marketing, Ventas y Growth para Startups
    • Cultura, Talento y Liderazgo
    • Finanzas y Operaciones en Ecommerce
    • Startups Web3 y Blockchain
    • Startups con Impacto Social
    • Expansión y Ecosistema Startup
  • Cloud Computing y DevOps
    • Fundamentos de Cloud y DevOps
    • Administración de Servidores Linux
    • Contenerización y Orquestación
    • Infraestructura como Código (IaC) y CI/CD
    • Amazon Web Services
    • Microsoft Azure
    • Serverless y Observabilidad
    • Certificaciones Cloud (Preparación)
    • Plataforma Cloud GCP

Platzi y comunidad

  • Platzi Business
  • Live Classes
  • Lanzamientos
  • Executive Program
  • Trabaja con nosotros
  • Podcast

Recursos

  • Manual de Marca

Soporte

  • Preguntas Frecuentes
  • Contáctanos

Legal

  • Términos y Condiciones
  • Privacidad
  • Tyc promociones
Reconocimientos
Reconocimientos
Logo reconocimientoTop 40 Mejores EdTech del mundo · 2024
Logo reconocimientoPrimera Startup Latina admitida en YC · 2014
Logo reconocimientoPrimera Startup EdTech · 2018
Logo reconocimientoCEO Ganador Medalla por la Educación T4 & HP · 2024
Logo reconocimientoCEO Mejor Emprendedor del año · 2024
De LATAM conpara el mundo
YoutubeInstagramLinkedInTikTokFacebookX (Twitter)Threads

      Comentarios

        Luis Fernando Úbeda Camacho

        Luis Fernando Úbeda Camacho

        student•
        hace 8 años

        Apuntes de clase

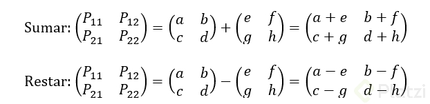
        -Para sumar matrices es importante que sean del mismo tamaño, de lo contrario no podremos realizar la suma.
        -Para sumar las matrices sumaremos componente por componente
        -La multiplicación de una escalar por una matriz, la realizaremos multiplicando el escalar por cada uno de los componentes de la matriz
        -La suma de matrices y multiplicación por escalar la podemos utilizar para resolver ecuaciones como por ejemplo : 2x - 4B = 3A, siendo A y B matrices, aislaremos la (x) y resolveremos las operaciones de las matrices

          Sergio Orduz

          Sergio Orduz

          teacher•
          hace 8 años

          genial… gracias por tomarte el tiempo de escribir este resumen.!! 😄

        Ricardo Osis

        Ricardo Osis

        student•
        hace 8 años

        No se puede dividir matrices !!!

        matriz.jpg
          Sergio Orduz

          Sergio Orduz

          teacher•
          hace 8 años

          Exacto, para ello utilizaremos un tpo de matrices que veremos más adelante. ya sabes cúal es? 😄

          Ricardo Osis

          Ricardo Osis

          student•
          hace 8 años

          NO aún no pronto llegaré !!!

        Edixon javier Pabon Lizcano

        Edixon javier Pabon Lizcano

        student•
        hace 6 años
        Suma-y-resta-de-matrices.png
        Luis E. Gama Ramirez

        Luis E. Gama Ramirez

        student•
        hace 8 años

        la multiplicación o producto de matrices es la operación de composición efectuada entre dos matrices, o bien la multiplicación entre una matriz y un escalar según unas determinadas reglas.

          Sergio Orduz

          Sergio Orduz

          teacher•
          hace 8 años

          gama2santos cuéntame que cursos estas tomando ahora? entendiste a la perfección las opraciones entre matrices?

        Alex Fernández

        Alex Fernández

        student•
        hace 6 años

        Excelente clase.