CursosEmpresasBlogLiveConfPrecios

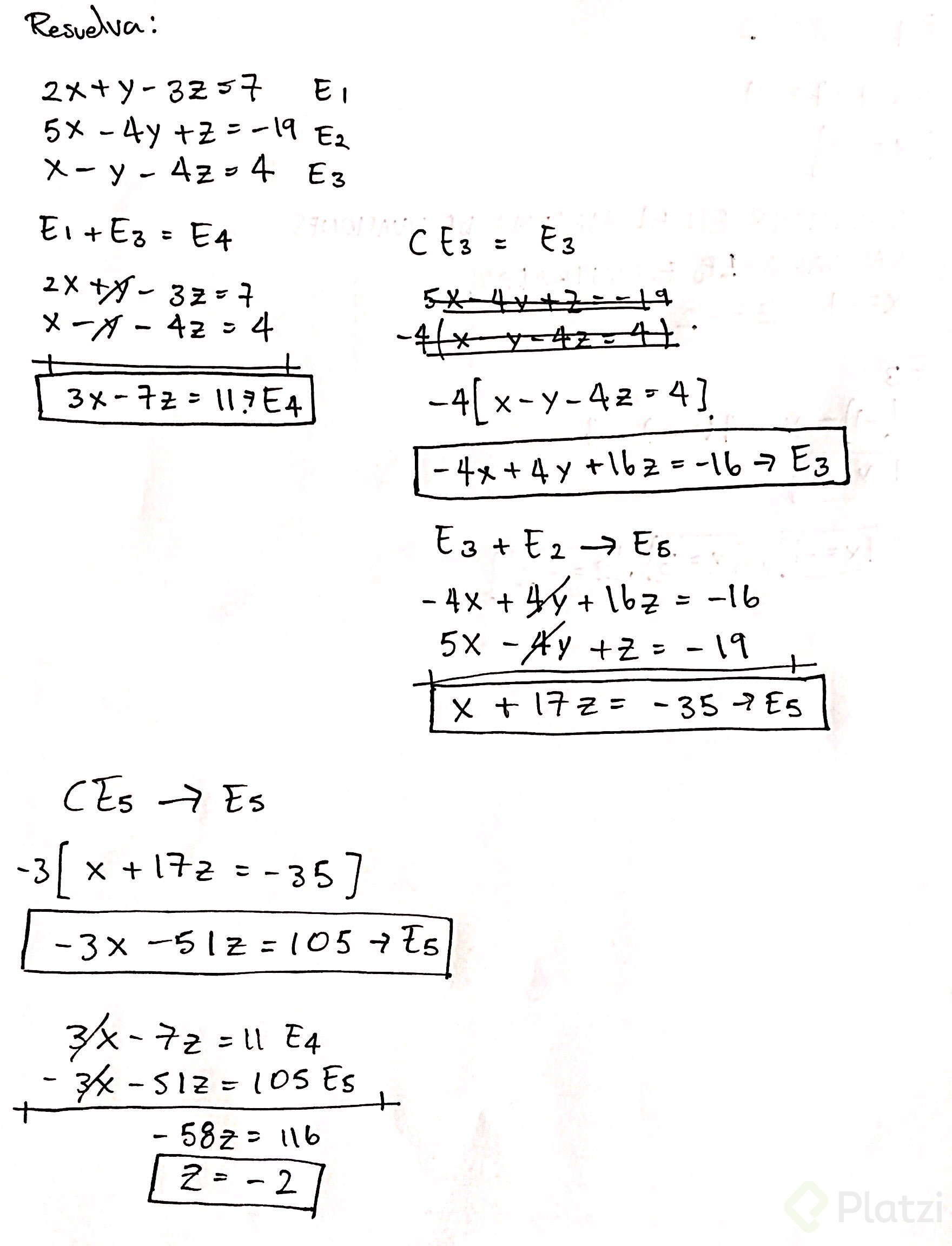
Solución de sistemas por método de eliminación

Clase 4 de 32 • Curso de Álgebra Lineal 2018

Contenido del curso

Introducción al Curso de Álgebra Lineal

  • 1
    Aprende sobre Álgebra Lineal con los cursos actualizados

    Aprende sobre Álgebra Lineal con los cursos actualizados

    00:12 min
  • 2
    Introducción

    Introducción

    02:14 min

Sistemas lineales

  • 3
    ¿Qué es un sistema lineal?

    ¿Qué es un sistema lineal?

    06:05 min
  • 4
    Solución de sistemas por método de eliminación

    Solución de sistemas por método de eliminación

    Viendo ahora
  • 5
    Solución por metodo Gauss

    Solución por metodo Gauss

    10:56 min
  • 6
    Solución por metodo Gauss Jordan

    Solución por metodo Gauss Jordan

    11:32 min

Vectores

  • 7
    ¿Qué es un vector?

    ¿Qué es un vector?

    06:24 min
  • 8
    Operaciones básicas con vectores

    Operaciones básicas con vectores

    08:12 min
  • 9
    Ejercicio operaciones básicas

    Ejercicio operaciones básicas

    06:09 min
  • 10
    Producto punto

    Producto punto

    07:35 min
  • 11
    Producto cruz

    Producto cruz

    08:40 min
  • 12
    Ecuación de un plano

    Ecuación de un plano

    05:47 min
  • 13
    Ejercicio ecuación de un plano

    Ejercicio ecuación de un plano

    07:35 min
  • 14
    Guía de instalación de Matlab

    Guía de instalación de Matlab

    02:00 min
  • 15
    Vectores en Matlab

    Vectores en Matlab

    10:51 min

Matrices

  • 16
    Introducción y tipo de matrices

    Introducción y tipo de matrices

    08:17 min
  • 17
    Suma de matrices y multiplicación por escalar

    Suma de matrices y multiplicación por escalar

    06:54 min
  • 18
    Multiplicación matricial

    Multiplicación matricial

    08:42 min
  • 19
    Matriz inversa

    Matriz inversa

    15:53 min
  • 20
    Matriz inversa metodo alternativo

    Matriz inversa metodo alternativo

    08:58 min
  • 21
    Factorización LU

    Factorización LU

    15:33 min
  • 22
    Matrices en Matlab

    Matrices en Matlab

    08:57 min

Transformaciones lineales

  • 23
    ¿Qué es una transformación lineal

    ¿Qué es una transformación lineal

    12:21 min
  • 24
    Reflexiones

    Reflexiones

    10:25 min
  • 25
    Comprensiones y expansiones

    Comprensiones y expansiones

    09:56 min
  • 26
    Cortes o desplazamientos

    Cortes o desplazamientos

    08:13 min
  • 27
    Rotaciones

    Rotaciones

    08:08 min

Determinantes

  • 28
    Cálculo de determinantes

    Cálculo de determinantes

    11:37 min
  • 29
    Determinantes por Cofactores

    Determinantes por Cofactores

    11:46 min
  • 30
    Geometria y propiedades del determinante

    Geometria y propiedades del determinante

    05:20 min
  • 31
    Regla de Cramer

    Regla de Cramer

    15:26 min
  • 32
    Solución de sistemas de 3 o más incógnitas en Matlab

    Solución de sistemas de 3 o más incógnitas en Matlab

    18:05 min
Tomar examen

Escuelas

  • Desarrollo Web
    • Fundamentos del Desarrollo Web Profesional
    • Diseño y Desarrollo Frontend
    • Desarrollo Frontend con JavaScript
    • Desarrollo Frontend con Vue.js
    • Desarrollo Frontend con Angular
    • Desarrollo Frontend con React.js
    • Desarrollo Backend con Node.js
    • Desarrollo Backend con Python
    • Desarrollo Backend con Java
    • Desarrollo Backend con PHP
    • Desarrollo Backend con Ruby
    • Bases de Datos para Web
    • Seguridad Web & API
    • Testing Automatizado y QA para Web
    • Arquitecturas Web Modernas y Escalabilidad
    • DevOps y Cloud para Desarrolladores Web
  • English Academy
    • Inglés Básico A1
    • Inglés Básico A2
    • Inglés Intermedio B1
    • Inglés Intermedio Alto B2
    • Inglés Avanzado C1
    • Inglés para Propósitos Específicos
    • Inglés de Negocios
  • Marketing Digital
    • Fundamentos de Marketing Digital
    • Marketing de Contenidos y Redacción Persuasiva
    • SEO y Posicionamiento Web
    • Social Media Marketing y Community Management
    • Publicidad Digital y Paid Media
    • Analítica Digital y Optimización (CRO)
    • Estrategia de Marketing y Growth
    • Marketing de Marca y Comunicación Estratégica
    • Marketing para E-commerce
    • Marketing B2B
    • Inteligencia Artificial Aplicada al Marketing
    • Automatización del Marketing
    • Marca Personal y Marketing Freelance
    • Ventas y Experiencia del Cliente
    • Creación de Contenido para Redes Sociales
  • Inteligencia Artificial y Data Science
    • Fundamentos de Data Science y AI
    • Análisis y Visualización de Datos
    • Machine Learning y Deep Learning
    • Data Engineer
    • Inteligencia Artificial para la Productividad
    • Desarrollo de Aplicaciones con IA
    • AI Software Engineer
  • Ciberseguridad
    • Fundamentos de Ciberseguridad
    • Hacking Ético y Pentesting (Red Team)
    • Análisis de Malware e Ingeniería Forense
    • Seguridad Defensiva y Cumplimiento (Blue Team)
    • Ciberseguridad Estratégica
  • Liderazgo y Habilidades Blandas
    • Fundamentos de Habilidades Profesionales
    • Liderazgo y Gestión de Equipos
    • Comunicación Avanzada y Oratoria
    • Negociación y Resolución de Conflictos
    • Inteligencia Emocional y Autogestión
    • Productividad y Herramientas Digitales
    • Gestión de Proyectos y Metodologías Ágiles
    • Desarrollo de Carrera y Marca Personal
    • Diversidad, Inclusión y Entorno Laboral Saludable
    • Filosofía y Estrategia para Líderes
  • Diseño de Producto y UX
    • Fundamentos de Diseño UX/UI
    • Investigación de Usuarios (UX Research)
    • Arquitectura de Información y Usabilidad
    • Diseño de Interfaces y Prototipado (UI Design)
    • Sistemas de Diseño y DesignOps
    • Redacción UX (UX Writing)
    • Creatividad e Innovación en Diseño
    • Diseño Accesible e Inclusivo
    • Diseño Asistido por Inteligencia Artificial
    • Gestión de Producto y Liderazgo en Diseño
    • Diseño de Interacciones Emergentes (VUI/VR)
    • Desarrollo Web para Diseñadores
    • Diseño y Prototipado No-Code
  • Contenido Audiovisual
    • Fundamentos de Producción Audiovisual
    • Producción de Video para Plataformas Digitales
    • Producción de Audio y Podcast
    • Fotografía y Diseño Gráfico para Contenido Digital
    • Motion Graphics y Animación
    • Contenido Interactivo y Realidad Aumentada
    • Estrategia, Marketing y Monetización de Contenidos
  • Desarrollo Móvil
    • Fundamentos de Desarrollo Móvil
    • Desarrollo Nativo Android con Kotlin
    • Desarrollo Nativo iOS con Swift
    • Desarrollo Multiplataforma con React Native
    • Desarrollo Multiplataforma con Flutter
    • Arquitectura y Patrones de Diseño Móvil
    • Integración de APIs y Persistencia Móvil
    • Testing y Despliegue en Móvil
    • Diseño UX/UI para Móviles
  • Diseño Gráfico y Arte Digital
    • Fundamentos del Diseño Gráfico y Digital
    • Diseño de Identidad Visual y Branding
    • Ilustración Digital y Arte Conceptual
    • Diseño Editorial y de Empaques
    • Motion Graphics y Animación 3D
    • Diseño Gráfico Asistido por Inteligencia Artificial
    • Creatividad e Innovación en Diseño
  • Programación
    • Fundamentos de Programación e Ingeniería de Software
    • Herramientas de IA para el trabajo
    • Matemáticas para Programación
    • Programación con Python
    • Programación con JavaScript
    • Programación con TypeScript
    • Programación Orientada a Objetos con Java
    • Desarrollo con C# y .NET
    • Programación con PHP
    • Programación con Go y Rust
    • Programación Móvil con Swift y Kotlin
    • Programación con C y C++
    • Administración Básica de Servidores Linux
  • Negocios
    • Fundamentos de Negocios y Emprendimiento
    • Estrategia y Crecimiento Empresarial
    • Finanzas Personales y Corporativas
    • Inversión en Mercados Financieros
    • Ventas, CRM y Experiencia del Cliente
    • Operaciones, Logística y E-commerce
    • Gestión de Proyectos y Metodologías Ágiles
    • Aspectos Legales y Cumplimiento
    • Habilidades Directivas y Crecimiento Profesional
    • Diversidad e Inclusión en el Entorno Laboral
    • Herramientas Digitales y Automatización para Negocios
  • Blockchain y Web3
    • Fundamentos de Blockchain y Web3
    • Desarrollo de Smart Contracts y dApps
    • Finanzas Descentralizadas (DeFi)
    • NFTs y Economía de Creadores
    • Seguridad Blockchain
    • Ecosistemas Blockchain Alternativos (No-EVM)
    • Producto, Marketing y Legal en Web3
  • Recursos Humanos
    • Fundamentos y Cultura Organizacional en RRHH
    • Atracción y Selección de Talento
    • Cultura y Employee Experience
    • Gestión y Desarrollo de Talento
    • Desarrollo y Evaluación de Liderazgo
    • Diversidad, Equidad e Inclusión
    • AI y Automatización en Recursos Humanos
    • Tecnología y Automatización en RRHH
  • Finanzas e Inversiones
    • Fundamentos de Finanzas Personales y Corporativas
    • Análisis y Valoración Financiera
    • Inversión y Mercados de Capitales
    • Finanzas Descentralizadas (DeFi) y Criptoactivos
    • Finanzas y Estrategia para Startups
    • Inteligencia Artificial Aplicada a Finanzas
    • Domina Excel
    • Financial Analyst
    • Conseguir trabajo en Finanzas e Inversiones
  • Startups
    • Fundamentos y Validación de Ideas
    • Estrategia de Negocio y Product-Market Fit
    • Desarrollo de Producto y Operaciones Lean
    • Finanzas, Legal y Fundraising
    • Marketing, Ventas y Growth para Startups
    • Cultura, Talento y Liderazgo
    • Finanzas y Operaciones en Ecommerce
    • Startups Web3 y Blockchain
    • Startups con Impacto Social
    • Expansión y Ecosistema Startup
  • Cloud Computing y DevOps
    • Fundamentos de Cloud y DevOps
    • Administración de Servidores Linux
    • Contenerización y Orquestación
    • Infraestructura como Código (IaC) y CI/CD
    • Amazon Web Services
    • Microsoft Azure
    • Serverless y Observabilidad
    • Certificaciones Cloud (Preparación)
    • Plataforma Cloud GCP

Platzi y comunidad

  • Platzi Business
  • Live Classes
  • Lanzamientos
  • Executive Program
  • Trabaja con nosotros
  • Podcast

Recursos

  • Manual de Marca

Soporte

  • Preguntas Frecuentes
  • Contáctanos

Legal

  • Términos y Condiciones
  • Privacidad
  • Tyc promociones
Reconocimientos
Reconocimientos
Logo reconocimientoTop 40 Mejores EdTech del mundo · 2024
Logo reconocimientoPrimera Startup Latina admitida en YC · 2014
Logo reconocimientoPrimera Startup EdTech · 2018
Logo reconocimientoCEO Ganador Medalla por la Educación T4 & HP · 2024
Logo reconocimientoCEO Mejor Emprendedor del año · 2024
De LATAM conpara el mundo
YoutubeInstagramLinkedInTikTokFacebookX (Twitter)Threads
      Obtén respuestas inmediatasProfundiza lo que acabas de ver

      Comentarios

        Luis E. Gama Ramirez

        Luis E. Gama Ramirez

        student•
        hace 8 años

        Solución por método de ELIMINACIÓN ; Eliminar una de las variables del sistema, hasta obtener un sistema de una variable con una ecuación.

          Sergio Orduz

          Sergio Orduz

          teacher•
          hace 8 años

          Así es, cuéntame, has tenido que utilizar este método para resolver algún problema?

          Luis E. Gama Ramirez

          Luis E. Gama Ramirez

          student•
          hace 8 años

          Solo ejercicios de la escuela (=

        Luis Fernando Úbeda Camacho

        Luis Fernando Úbeda Camacho

        student•
        hace 8 años

        Podemos soluciona un sistema con diferentes métodos:

        • Eliminación
        • Escalamiento
        • Intercambio
          Emanuel Pontoni

          Emanuel Pontoni

          student•
          hace 8 años

          Estas son operaciones que permiten obtener sistemas equivalentes más sencillos, en donde el conjunto solución sea más fácil de obtener.

          Emanuel Antonio Salguero

          Emanuel Antonio Salguero

          student•
          hace 8 años

          Se llama metodo de Gauss-Jordan, es muy importante reconocer a quienes trabajaron duro para darnos las herramientas que hoy en día nos permiten estar donde estamos.

          Wikipedia no es la fuente mas fiable, pero puedes seguir explorando.

        Cristian Orozco Benjumea

        Cristian Orozco Benjumea

        student•
        hace 8 años

        Así eran mis profesores favoritas de la universidad, paso por paso.

          Sergio Orduz

          Sergio Orduz

          teacher•
          hace 8 años

          suave suavecito jajaja cómo te ha ido con el curso @creea

          Cristian Orozco Benjumea

          Cristian Orozco Benjumea

          student•
          hace 8 años

          Ya culimado!! si aprendí bastante y recordé conceptos que ahora para avanzar en Machine Learning me han ayudado. 👍

        Nicolas Humberto Sulca Vega

        Nicolas Humberto Sulca Vega

        student•
        hace 8 años

        por si alguien quiere reforzar lo aprendido

        Antonio Rodríguez

        Antonio Rodríguez

        student•
        hace 8 años

        Me recuerda las integrales 😄

          Sergio Orduz

          Sergio Orduz

          teacher•
          hace 8 años

          jaajaj es verdad, aunque las integrales responden no solo a funciones lineales sino otros tipos de funciones también

        Alexis Anderson Montenegro Reyes

        Alexis Anderson Montenegro Reyes

        student•
        hace 8 años

        Aaaahhh que placer recordar las clases de mi uni…

          Sergio Orduz

          Sergio Orduz

          teacher•
          hace 8 años

          Cuéntame Alexander… aprendiste algo nuevo?

        Julio Joshué Puertas Valdez

        Julio Joshué Puertas Valdez

        student•
        hace 7 años

        El método de la matriz era más ordenado (a mi parecer)

        José Luis Tineo Castro

        José Luis Tineo Castro

        student•
        hace 7 años

        Recuerdo haber estudiado en el álgebra de Baldor 3 métodos para sistemas de ecuaciones eran: Reducción Eliminación Sustitución.

        Julian Castro Pulgarin

        Julian Castro Pulgarin

        student•
        hace 5 años

        Para encontrar la(s) solución a un sistema de ecuaciones lineales por el método de eliminación debemos:

        -Con el sistema dado, a través de la suma de variables, el escalamiento o el intercambio; debemos eliminar una variable para conseguir una ecuación nueva

        • Con esta nueva ecuación tendremos una incógnita menos, y haremos el primer paso para tener otra ecuación reducida con solo una incógnita

        • Al despejar esta incógnita tendremos la herramienta para despejar las demás

        Antonio Rodríguez

        Antonio Rodríguez

        student•
        hace 8 años
        IMG_2713.JPG
        IMG_2714.JPG

        HOLA esta es otra forma de encontrar la solución! Cualquier cosa me corrigen

          Sergio Orduz

          Sergio Orduz

          teacher•
          hace 8 años

          Ufff genial @taxnature me gusto mucho la forma en la que realizaste el ejercicio, aunque la idea es la misma tomaste caminos diferentes para llegar al mismo resultado! 😄

        María Alejandra Zapata Montaño

        María Alejandra Zapata Montaño

        student•
        hace 8 años

        ¡Excelente explicación!

          Sergio Orduz

          Sergio Orduz

          teacher•
          hace 8 años

          Gracias maria alejandra!!

        Brayan Alexander Ñauñay Granizo

        Brayan Alexander Ñauñay Granizo

        student•
        hace 7 años

        Para realmente aprender hay que practicar mucho y así te vas familiarizando con el tema. Gracias.

        Alejandro Sebastian Dubon Estrada

        Alejandro Sebastian Dubon Estrada

        student•
        hace 6 años

        Lo primero que se hizo fue eliminar una variable con el metodo de eliminacion EcuacionUNO mas EcuacionTres obteniendo una ecuacion de segundo grado ecuacionCUATRO… luego con el mismo método de eliminación se elimino una variable restando la ecuacionUNO con la ecuacionDOS y se obtuvo una ecuacionCINCO… Luego de esto se volvió a utilizar el método de eliminación con las 2 nuevas ecuaciones para poder despejar una variable (Como eran ecuaciones de segundo grado, la forma de encontrar el resto de variables fue mas sencilla)

          Aidan Lorenzo

          Aidan Lorenzo

          student•
          hace 6 años

          Gracias por la explicación!

        Deniss Bonilla Paredes

        Deniss Bonilla Paredes

        student•
        hace 5 años

        ¿que es el escalamiento?

          David Rodriguez Postigo

          David Rodriguez Postigo

          student•
          hace 5 años

          Hola

          En este caso significa ampliación o cambio de tamaño para decirlo de forma sencilla, como cuando vas a una fotocopiadora y pides que te amplié una fotocopia al doble de tamaño, que seria un escalamiento x 2.

        Hugo Arechiga

        Hugo Arechiga

        student•
        hace 5 años

        Alguien sabe como saco que z = - 2?

          CRISTIAN BARBERO PÉREZ

          CRISTIAN BARBERO PÉREZ

          student•
          hace 5 años

          Hola, tiene que -58*z = 116, por tanto z = 116/(-58) = -2

          Mi Chu

          Mi Chu

          student•
          hace 3 años

          :o

        Federico Menteguiaga

        Federico Menteguiaga

        student•
        hace 5 años

        La clave es tener en mente que nuestro objetivo debe ser reducir el sistema inicial a:

        • Un nuevo sistema con solo 2 variables

        Una vez hecho eso, será mucho más fácil de resolver

        Ricardo Osis

        Ricardo Osis

        student•
        hace 8 años
        reducción gaussiana portada.jpg

        Solución de sistemas por método de eliminación

          Ricardo Osis

          Ricardo Osis

          student•
          hace 8 años

          Eliminar una de las variables del sistema, hasta obtener un sistema de una variable con una ecuación.

        Alex Fernández

        Alex Fernández

        student•
        hace 6 años

        Excelente explicación.

        Miguel Sanchez

        Miguel Sanchez

        student•
        hace 8 años

        Porque en el paso de la multiplicación escalar tenemos que multiplicar cada uno de los términos por 4 ?

          Sergio Orduz

          Sergio Orduz

          teacher•
          hace 8 años

          Hola @miguel-sanchez que bueno tenerte tomando el curso 😄, lo que estamos buscando aquí es eliminar el -4y, como lo elimino? pues si tengo +4y - 4y = 0 … pero que pasa? que arriba solo tenemos y entonces tengo que multiplicarla por 4. pero no puedo multiplicar solo una parte sino que tengo que multiplicar toda la ecuación.

          Por ejemplo supongamos que en una ecuación (1) tenemos 8x y en una ecuación (2) tenemos 2x … para eliminarlas podríamos multiplicar la segunda por -4 y nos quedaría 8x - 8x = 0. Porfa comentame si es claro ya que esto lo vamos a utilizar en los próximos métodos 😄

          ISRAEL Medina Mamani

          ISRAEL Medina Mamani

          student•
          hace 7 años

          hola @miguel-sanchez lo que podría decir sobre tu pregunta es que una ecuación esta sujeto por la igualdad, tienes el lado derecho y el izquierdo y al medio esta el signo ‘=’ ej. ax+by = D. Como es una igualdad puedes sumar, multiplicar o dividir dependiendo del artificio que necesites y afecta al lado izquierdo y derecho por la igualdad(ambos lados simultáneamente). La explicación me pareció muy a lo matemático ‘pasa al otro lado’ lo correcto es si sumas, restas o divides afecta a los dos lados, repito por la igualdad.

        Edixon javier Pabon Lizcano

        Edixon javier Pabon Lizcano

        student•
        hace 6 años

        Repasando, temas muy importantes...