Resumen

El problema de la derivada nace de tratar de encontrar la recta tangente a un punto en una curva. La primera solución (por parte de Isaac Newton) fué tomar una recta secante, es decir una recta que corta a la curva en dos puntos.

Encontrando la pendiende de la recta tangente

Recta secante a una curva y su pendiente
De la imagen anterior nos damos cuenta que estos dos puntos están dados por
1.PNG
y
2.PNG
donde "h" es la distancia horizontal entre dichos puntos. Mediante estos dos puntos, podemos calcular la pendiente de la recta secante con la fórmula
3.PNG
, donde m es la pendiente,
4.PNG
y
5.PNG
corresponden a las coordenadas de
p1.PNG
, y
x1.PNG
y
y1.PNG
a las coordenadas de
p1.PNG
.

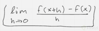
Sin embargo, esto nos da la pendiente de la recta secante. Queremos encontrar la de la recta tangente. Para ello, debemos recortar la distancia "h", hasta que sea muy cercana a cero. Entonces tomamos el límite

9.PNG
, y esto nos da la pendiente de la recta tangente en un punto x de la curva. A este límite es lo que llamamos derivada.

La derivada también se puede ver en términos de incrementos. El numerador sería el incremento

7.PNG
entre las funciones o también el valor de y, mientras que el denominador sería el incremento
8.PNG
entre los valores de x.

Recuerda que el objetivo del curso no es hacer cálculo de la manera tradicional (a lápiz y papel), si no entender los fundamentos matemáticos que se aplican en distintos algoritmos de inteligencia artificial.

Contribución creada por Ciro Villafraz con los aportes de Joan Blanco.

      Definición de la derivada