Derivadas de funciones exponenciales y logarítmicas

Clase 14 de 22Curso de Cálculo Diferencial

Contenido del curso

Resumen

Dominar las derivadas de funciones exponenciales y logarítmicas te permitirá resolver problemas matemáticos de forma sencilla. En esta clase encontrarás cómo derivar estos tipos de funciones, utilizando reglas claras y ejemplos prácticos. Aprenderás que las derivadas de exponenciales y logaritmos pueden ser más intuitivas de lo que parece.

¿Cómo derivar funciones exponenciales con base Euler?

La clave para derivar exponenciales con base Euler (e) está en recordar que su derivada es la misma función multiplicada por la derivada del exponente. Por ejemplo:

  • Para derivar ( e^{5x} ): el resultado es ( 5e^{5x} ).
  • Y ( e^{3x^2} ): al derivar, obtienes ( 6xe^{3x^2} ).

Recuerda que Euler mantiene su mismo exponente, multiplicado siempre por la derivada del exponente.

¿Y si la base no es Euler, cómo se deriva?

Aunque el proceso es parecido, cuando la base es distinta de Euler, añades un paso adicional: multiplicar por el logaritmo natural de la base. Veamos ejemplos:

  • Para derivar ( a^{5x} ): obtienes ( 5a^{5x} ) multiplicado por ( \ln(a) ), es decir, ( 5a^{5x}\ln(a) ).
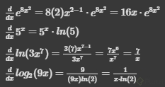
  • Si derivas ( 7^{8x^2} ): el resultado es ( 16x \cdot 7^{8x^2}\ln(7) ).

Este último paso con el logaritmo natural es clave cuando la base no es Euler.

¿Cómo derivar logaritmos naturales y logaritmos con distinta base?

Cuando te enfrentas a la derivada de un logaritmo natural, siempre resultará en una fracción con el argumento en el denominador y su derivada en el numerador, por ejemplo:

  • Derivar ( \ln(x^2 + 2) ): el resultado es ( \frac{2x}{x^2 + 2} ).
  • Con ( \ln(\sin(x)) ): el resultado primario es ( \frac{\cos(x)}{\sin(x)} ), que simplifica en cotangente si recuerdas tus identidades trigonométricas.

Cuando la base del logaritmo no es Euler, solo necesitas añadir otro logaritmo natural en el denominador:

  • Por ejemplo, derivar ( \log_2(3x) ): primero obtienes ( \frac{3}{3x\ln(2)} ), simplificado queda en ( \frac{1}{x\ln(2)} ).
  • Y derivando ( \log_3(5x+1) ), queda ( \frac{5}{(5x+1)\ln(3)} ).

Esto te permite derivar cualquier logaritmo independientemente de su base, aplicando siempre un proceso sencillo y sistemático.

¿Te quedó todo claro? Intenta resolver ahora los siguientes ejercicios y comparte tus respuestas.