Derivadas implícitas: funciones con variables x e y combinadas

Clase 16 de 22Curso de Cálculo Diferencial

Contenido del curso

Resumen

Las derivadas implícitas pueden parecer complicadas al inicio, pero son esenciales para trabajar funciones que combinan más de una variable, como sucede normalmente en física, economía e ingeniería. Dominar esta técnica te permitirá abordar problemas complejos de forma sencilla y efectiva.

¿Qué son las derivadas implícitas y cuándo se utilizan?

Las derivadas implícitas se utilizan cuando tienes funciones donde las variables están mezcladas, y no es factible despejar fácilmente la variable dependiente (normalmente la y). En estos casos, la derivación implícita simplifica enormemente la tarea. La clave es derivar ambas variables respetando sus reglas específicas.

¿En qué consiste la regla especial al derivar con respecto a 'y'?

Cuando derivas la variable y, aplicas las mismas reglas conocidas, pero siempre debes añadir después la derivada de y respecto a x ((\frac{dy}{dx})). Por ejemplo:

  • Derivada de (y^2) es (2y \frac{dy}{dx}).
  • Mientras que la derivada de (x^2) simplemente es (2x).

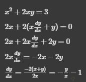
¿Cómo resolver un problema práctico de derivada implícita?

Considera esta función de ejemplo: [ x^2 + y^2 = 25 ]

Procedimiento:

  1. Aplica la derivada a cada término considerando la regla especial para y:

[ 2x + 2y \frac{dy}{dx} = 0 ]

  1. Despeja (\frac{dy}{dx}) del resto de la ecuación:

[ 2y \frac{dy}{dx} = -2x ]

  1. Simplifica:

[ \frac{dy}{dx} = -\frac{x}{y} ]

¿Qué pasa en funciones que involucran un producto de variables?

Con la función: [ xy = 1 ]

Debes recordar la regla del producto:

  • Primero deriva una variable multiplicándola por la derivada de la segunda, más la segunda variable multiplicada por la derivada de la primera.

Siguiendo este método queda:

[ x \frac{dy}{dx} + y = 0 ]

Despejando y simplificando:

[ \frac{dy}{dx} = -\frac{y}{x} ]

¿Qué utilidad tiene aprender sobre derivadas implícitas?

Estas técnicas tienen aplicaciones prácticas en áreas como la ingeniería, física y economía. Precisamente son ideales para resolver funciones complejas que no permiten despejes sencillos, facilitando cálculos esenciales en estas disciplinas.

Déjanos en los comentarios cómo te fue con los ejercicios y compártenos tus resultados. ¿Listo para avanzar al siguiente nivel con derivadas sucesivas?