Regla de la cadena para derivar funciones compuestas

Clase 15 de 22Curso de Cálculo Diferencial

Contenido del curso

Resumen

Dominar la regla de la cadena es básico para entender derivadas en cálculo diferencial, especialmente cuando se enfrenta a funciones dentro de funciones. Esta técnica permite simplificar derivadas complejas, trabajando de afuera hacia adentro, como pelando suavemente las capas de una cebolla.

¿Qué es la regla de la cadena y cuándo se usa?

La regla de la cadena se aplica al derivar funciones compuestas, es decir, cuando tienes una función dentro de otra función. Por ejemplo, la función algebraica (3x^2) puede estar contenida en una función seno, que a su vez puede estar dentro de una función exponencial como Euler. Esta regla señala que debes empezar derivando desde la función más externa hacia la más interna, en secuencia.

¿Cómo se deriva paso a paso según la regla de la cadena?

Visualiza la derivada como capas; toma la función más externa primero:

  • Se inicia derivando Euler elevado a una función, recordando que la derivada de (e^u) es (e^u) por la derivada del exponente.
  • Posteriormente, se deriva el seno, cuya derivada es coseno con el mismo argumento, y multiplicado por la derivada de dicho argumento.
  • Continúa derivando las funciones sucesivas hasta la última capa.

Como ejemplo práctico:

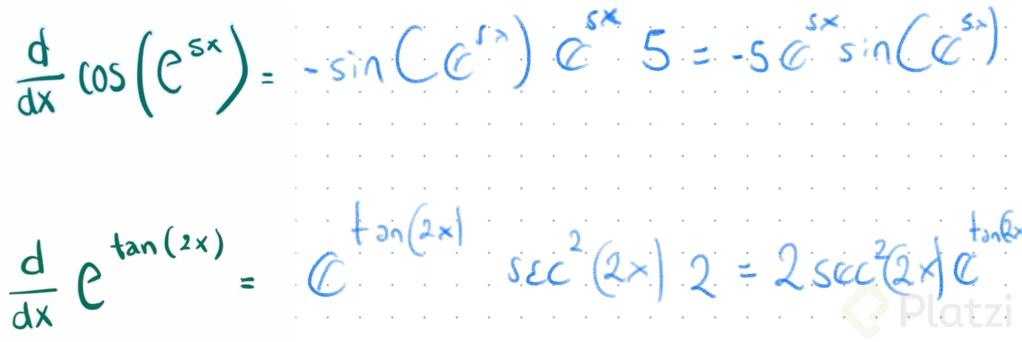
  1. ( e^{sen(3x^2)} ) se deriva como ( e^{sen(3x^2)} ), multiplicado por la derivada del exponente.
  2. Luego, derivar ( sen(3x^2) ) se convierte en ( cos(3x^2) ) multiplicado por la derivada del argumento interno.
  3. Finalmente, la derivada de ( 3x^2 ) es simplemente (6x).

¿Cómo se utiliza la regla de la cadena en funciones más complejas?

Consideremos otro ejemplo con la función tangente:

  • Tienes (tan(e^{2x})).
  • Inicia derivando tangente: su derivada es (sec^2) del mismo argumento, multiplicado por la derivada del argumento.
  • Continúa derivando Euler, cuya derivada no cambia la base ( e ), pero multiplica por la derivada del exponente (2x).
  • Finalmente, deriva (2x), resultando en 2.

El proceso termina naturalmente cuando llegas a una función simple que ya no contiene otras funciones complejas dentro de ella.

¿Estás listo para probar lo aprendido?

Ahora puedes practicar con ejercicios sencillos sobre estas funciones compuestas. Deja tus resultados y cualquier duda en los comentarios. Pronto veremos qué sucede cuando aparecen funciones implícitas con combinaciones de (x) y (y).