Resumen

¿Cómo se relacionan las probabilidades y el cálculo?

Las probabilidades y el cálculo van de la mano al momento de entender y calcular probabilidades más complejas. Cuando hablamos de probabilidad, introducimos el concepto de función. En probabilidad, una función distribucional asigna probabilidades a los posibles estados de una variable aleatoria. Así, por ejemplo, la probabilidad de lanzar un dado es una función constante, donde cada cara tiene una probabilidad de 1/6.

¿Qué son las funciones discretas y continuas?

La probabilidad se divide en funciones discretas y continuas, dependiendo del dominio de la variable aleatoria.

  • Funciones discretas: Son aquellas donde los valores posibles de la variable aleatoria son contables, como el lanzamiento de un dado donde los posibles resultados son del 1 al 6.

  • Funciones continuas: Estas funciones aplican a situaciones donde la variable aleatoria puede tomar cualquier valor en un rango determinado, como la temperatura en un lugar específico. Estos valores no son fácilmente contables.

Para funciones discretas, la gráfica resulta ser un histograma que muestra la frecuencia de cada evento. En cambio, para las funciones continuas, se utiliza una curva suave que se puede derivar e integrar.

¿Qué es la distribución acumulada?

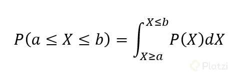
La distribución acumulada es una función que te permite calcular la probabilidad de que una variable aleatoria tome valores menores o iguales a un cierto umbral. Para funciones continuas, esta probabilidad se obtiene a través de la integral de la función de densidad de probabilidad. En el caso de funciones discretas, se obtiene sumando las probabilidades de todos los valores hasta el umbral.

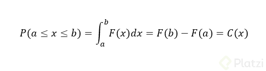
¿Cómo se calculan áreas bajo la curva?

Calcular el área bajo la curva es una técnica del cálculo integral que se aplica para encontrar probabilidades acumuladas en distribuciones continuas. Este método te ayuda a entender la probabilidad de ocurrencia de eventos dentro de un rango específico de valores de la variable aleatoria.

Aplicación del cálculo a distribuciones de probabilidad

El cálculo se convierte en una herramienta crucial para profundizar en el estudio de las distribuciones de probabilidad. Las propiedades matemáticas de derivación e integración que se utilizan comúnmente en cálculo se aplican también a las distribuciones de probabilidad. Esto establece un puente entre el cálculo y la probabilidad, siendo especialmente relevante en el cálculo de probabilidades acumuladas.

En un próximo paso, es posible emplear lenguajes de programación como Python para agilizar los cálculos de probabilidades, especialmente en casos complejos donde las integrales son difíciles de resolver manualmente. Esto demuestra cómo la informática puede potenciar el análisis estadístico y la teoría de probabilidades, llevando a una comprensión más profunda y una mayor eficiencia en su aplicación.