Media, Varianza y Desviación Estándar en Estadística

Clase 14 de 24Curso de Estadística Computacional con Python

Contenido del curso

Resumen

¿Cómo calcular la varianza y la desviación estándar?

El cálculo de la varianza y la desviación estándar es fundamental para entender la dispersión de los datos en un conjunto. Estos son dos elementos cruciales en la estadística inferencial que nos permiten obtener una imagen más clara sobre cómo se distribuyen nuestros datos respecto a la media.

¿Qué es la varianza y cómo se calcula?

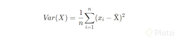
La varianza nos muestra cuán alejados están los datos de la media aritmética, proporcionando una medida de dispersión en términos cuadráticos. Calcular la varianza es sencillo, siguiendo estos pasos:

  1. Calcular la media: Primero, obtén el promedio de todos los valores.
  2. Restar la media de cada valor: Posteriormente, resta la media de cada uno de los valores del conjunto de datos.
  3. Elevar las diferencias al cuadrado: Eleva al cuadrado las diferencias obtenidas, eliminando así los valores negativos.
  4. Sumar todos los valores al cuadrado: Calcula la suma de todos los valores al cuadrado obtenidos.
  5. Dividir entre el número total de elementos: Este resultado se divide por el número total de elementos en el conjunto de datos.

Aquí está el código que ilustra cómo calcular la varianza en Python:

def varianza(x): media = calcular_media(x) acumulador = 0 for xi in x: acumulador += (xi - media) ** 2 return acumulador / len(x)

¿Qué es la desviación estándar?

La desviación estándar es la raíz cuadrada de la varianza. Nos permite expresar la variabilidad de los datos en las mismas unidades que la media, facilitando así su interpretación. La desviación estándar indica, de una manera más clara, cuán dispersos están los datos alrededor de la media.

Código para calcular la desviación estándar:

import math def desviacion_estandar(x): return math.sqrt(varianza(x))

¿Por qué es importante entender la media, la varianza y la desviación estándar?

Al estudiar un conjunto de datos, es esencial no solo conocer el promedio, sino también comprender cómo los datos se dispersan alrededor de este. Por ejemplo, tener una media no nos dice cuándo los datos se encuentran muy alejados unos de otros o están muy agrupados. La desviación estándar y la varianza brindan una visión más completa al respecto.

Ejemplo práctico:

Datos: Un conjunto de alturas con una media de aproximadamente 1.80 metros puede tener una desviación estándar significativamente diferente dependiendo de la dispersión de los valores.

  • Alta varianza/desviación estándar: Significa que las alturas varían de manera considerable con respecto a la media.
  • Baja varianza/desviación estándar: Indica que las alturas están cercanas al valor promedio.

Fórmulas clave y su implementación en código

Como se ha mostrado, calcular la media es el primer paso:

def calcular_media(x): return sum(x) / len(x)

Utilizando estas implementaciones, podemos entender mejor la variabilidad de los datos:

datos = [9, 10, 11] media = calcular_media(datos) var = varianza(datos) desvest = desviacion_estandar(datos) print(f"Media: {media}, Varianza: {var}, Desviación Estándar: {desvest}")

Este enfoque permite evaluar estadísticamente un conjunto de datos, lo que es esencial para realizar inferencias estadísticas válidas. Asimismo, entender la varianza y la desviación estándar permite realizar muestreos e inferencias más precisas en diferentes contextos de análisis de datos. No olvides que cada consulta o duda sobre este tema puede ser discutida y resuelta en los sistemas de comentarios o foros especializados en estadística. ¡Sigue explorando el mundo de la estadística inferencial!