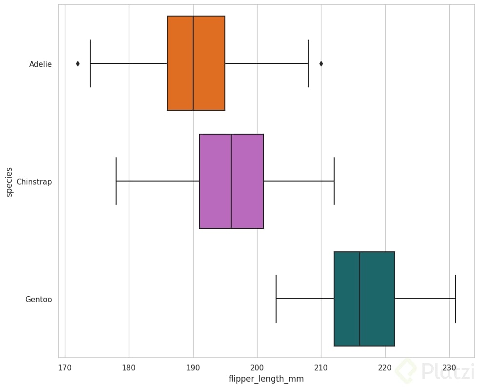
Ejercicio de obtención de medidas de dispersión

Clase 12 de 28Curso de Análisis Exploratorio de Datos

Contenido del curso