Introducción al análisis exploratorio de datos
- 1

¿Qué es y para qué sirve el análisis exploratorio de datos?
02:07 min - 2

¿Cómo hacer un análisis exploratorio de datos?
06:35 min - 3

Tipos de análisis de datos
04:45 min - 4

Tipos de datos y análisis de variables
03:45 min - 5

Herramientas de software para el análisis exploratorio de datos
07:48 min - 6

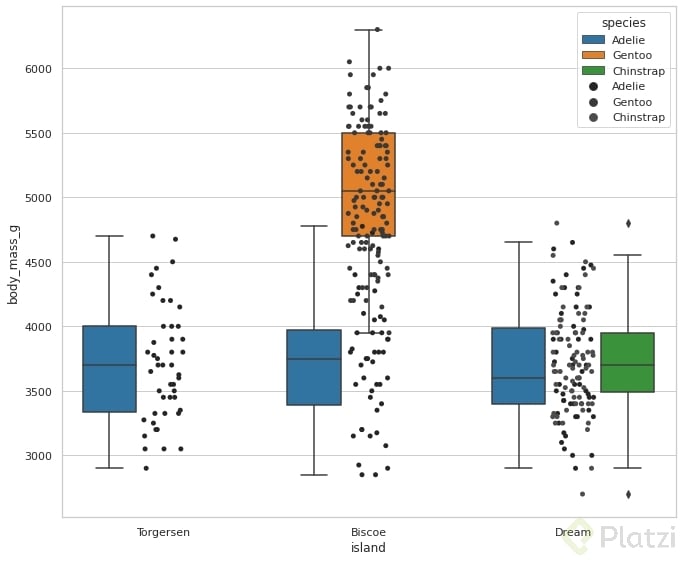
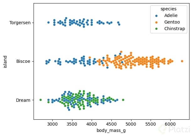
Conociendo nuestros datos: palmerpenguins
11:07 min - 7

Recolección de datos, limpieza y validación
09:18 min - 8

Ejercicio de validación de datos
11:35 min