CursosEmpresasBlogLiveConfPrecios

Entendiendo la regresión lineal simple

Clase 16 de 18 • Curso de Funciones Matemáticas para Data Science e Inteligencia Artificial

Contenido del curso

Aprendamos lo elemental

  • 1
    Necesitas aprender sobre funciones

    Necesitas aprender sobre funciones

    01:47 min
  • 2
    ¿Qué es una función?

    ¿Qué es una función?

    07:25 min
  • 3
    Tipos de variables

    Tipos de variables

    05:04 min
  • 4
    Qué es el dominio y rango en funciones

    Qué es el dominio y rango en funciones

    02:46 min
  • 5
    Cómo leer las matemáticas: Símbolos generales

    Cómo leer las matemáticas: Símbolos generales

    08:52 min
  • 6
    Cómo leer las matemáticas: Conjuntos

    Cómo leer las matemáticas: Conjuntos

    14:15 min

Todo sobre funciones

  • 7
    Funciones algebraicas lineales

    Funciones algebraicas lineales

    13:00 min
  • 8
    Funciones algebraicas polinómicas

    Funciones algebraicas polinómicas

    09:52 min
  • 9
    Funciones trascendentes

    Funciones trascendentes

    12:06 min
  • 10
    Funciones seccionadas

    Funciones seccionadas

    09:24 min
  • 11
    Funciones compuestas

    Funciones compuestas

    08:39 min
  • 12
    ¿Cómo manipular funciones?

    ¿Cómo manipular funciones?

    10:33 min
  • 13
    Características de las Funciones Reales

    Características de las Funciones Reales

    03:34 min

Funciones en ciencia de datos

  • 14
    Conoce al perceptrón

    Conoce al perceptrón

    08:14 min
  • 15
    Funciones de activación

    Funciones de activación

    09:11 min

Modela tu primer función

  • 16
    Entendiendo la regresión lineal simple

    Entendiendo la regresión lineal simple

    Viendo ahora
  • 17
    ¿Cómo se calcula un error?

    ¿Cómo se calcula un error?

    08:38 min

Este no es el fin

  • 18
    Te has iniciado detrás del secreto de la ciencia de datos

    Te has iniciado detrás del secreto de la ciencia de datos

    02:22 min
Tomar examen

Escuelas

  • Desarrollo Web
    • Fundamentos del Desarrollo Web Profesional
    • Diseño y Desarrollo Frontend
    • Desarrollo Frontend con JavaScript
    • Desarrollo Frontend con Vue.js
    • Desarrollo Frontend con Angular
    • Desarrollo Frontend con React.js
    • Desarrollo Backend con Node.js
    • Desarrollo Backend con Python
    • Desarrollo Backend con Java
    • Desarrollo Backend con PHP
    • Desarrollo Backend con Ruby
    • Bases de Datos para Web
    • Seguridad Web & API
    • Testing Automatizado y QA para Web
    • Arquitecturas Web Modernas y Escalabilidad
    • DevOps y Cloud para Desarrolladores Web
  • English Academy
    • Inglés Básico A1
    • Inglés Básico A2
    • Inglés Intermedio B1
    • Inglés Intermedio Alto B2
    • Inglés Avanzado C1
    • Inglés para Propósitos Específicos
    • Inglés de Negocios
  • Marketing Digital
    • Fundamentos de Marketing Digital
    • Marketing de Contenidos y Redacción Persuasiva
    • SEO y Posicionamiento Web
    • Social Media Marketing y Community Management
    • Publicidad Digital y Paid Media
    • Analítica Digital y Optimización (CRO)
    • Estrategia de Marketing y Growth
    • Marketing de Marca y Comunicación Estratégica
    • Marketing para E-commerce
    • Marketing B2B
    • Inteligencia Artificial Aplicada al Marketing
    • Automatización del Marketing
    • Marca Personal y Marketing Freelance
    • Ventas y Experiencia del Cliente
    • Creación de Contenido para Redes Sociales
  • Inteligencia Artificial y Data Science
    • Fundamentos de Data Science y AI
    • Análisis y Visualización de Datos
    • Machine Learning y Deep Learning
    • Data Engineer
    • Inteligencia Artificial para la Productividad
    • Desarrollo de Aplicaciones con IA
    • AI Software Engineer
  • Ciberseguridad
    • Fundamentos de Ciberseguridad
    • Hacking Ético y Pentesting (Red Team)
    • Análisis de Malware e Ingeniería Forense
    • Seguridad Defensiva y Cumplimiento (Blue Team)
    • Ciberseguridad Estratégica
  • Liderazgo y Habilidades Blandas
    • Fundamentos de Habilidades Profesionales
    • Liderazgo y Gestión de Equipos
    • Comunicación Avanzada y Oratoria
    • Negociación y Resolución de Conflictos
    • Inteligencia Emocional y Autogestión
    • Productividad y Herramientas Digitales
    • Gestión de Proyectos y Metodologías Ágiles
    • Desarrollo de Carrera y Marca Personal
    • Diversidad, Inclusión y Entorno Laboral Saludable
    • Filosofía y Estrategia para Líderes
  • Diseño de Producto y UX
    • Fundamentos de Diseño UX/UI
    • Investigación de Usuarios (UX Research)
    • Arquitectura de Información y Usabilidad
    • Diseño de Interfaces y Prototipado (UI Design)
    • Sistemas de Diseño y DesignOps
    • Redacción UX (UX Writing)
    • Creatividad e Innovación en Diseño
    • Diseño Accesible e Inclusivo
    • Diseño Asistido por Inteligencia Artificial
    • Gestión de Producto y Liderazgo en Diseño
    • Diseño de Interacciones Emergentes (VUI/VR)
    • Desarrollo Web para Diseñadores
    • Diseño y Prototipado No-Code
  • Contenido Audiovisual
    • Fundamentos de Producción Audiovisual
    • Producción de Video para Plataformas Digitales
    • Producción de Audio y Podcast
    • Fotografía y Diseño Gráfico para Contenido Digital
    • Motion Graphics y Animación
    • Contenido Interactivo y Realidad Aumentada
    • Estrategia, Marketing y Monetización de Contenidos
  • Desarrollo Móvil
    • Fundamentos de Desarrollo Móvil
    • Desarrollo Nativo Android con Kotlin
    • Desarrollo Nativo iOS con Swift
    • Desarrollo Multiplataforma con React Native
    • Desarrollo Multiplataforma con Flutter
    • Arquitectura y Patrones de Diseño Móvil
    • Integración de APIs y Persistencia Móvil
    • Testing y Despliegue en Móvil
    • Diseño UX/UI para Móviles
  • Diseño Gráfico y Arte Digital
    • Fundamentos del Diseño Gráfico y Digital
    • Diseño de Identidad Visual y Branding
    • Ilustración Digital y Arte Conceptual
    • Diseño Editorial y de Empaques
    • Motion Graphics y Animación 3D
    • Diseño Gráfico Asistido por Inteligencia Artificial
    • Creatividad e Innovación en Diseño
  • Programación
    • Fundamentos de Programación e Ingeniería de Software
    • Herramientas de IA para el trabajo
    • Matemáticas para Programación
    • Programación con Python
    • Programación con JavaScript
    • Programación con TypeScript
    • Programación Orientada a Objetos con Java
    • Desarrollo con C# y .NET
    • Programación con PHP
    • Programación con Go y Rust
    • Programación Móvil con Swift y Kotlin
    • Programación con C y C++
    • Administración Básica de Servidores Linux
  • Negocios
    • Fundamentos de Negocios y Emprendimiento
    • Estrategia y Crecimiento Empresarial
    • Finanzas Personales y Corporativas
    • Inversión en Mercados Financieros
    • Ventas, CRM y Experiencia del Cliente
    • Operaciones, Logística y E-commerce
    • Gestión de Proyectos y Metodologías Ágiles
    • Aspectos Legales y Cumplimiento
    • Habilidades Directivas y Crecimiento Profesional
    • Diversidad e Inclusión en el Entorno Laboral
    • Herramientas Digitales y Automatización para Negocios
  • Blockchain y Web3
    • Fundamentos de Blockchain y Web3
    • Desarrollo de Smart Contracts y dApps
    • Finanzas Descentralizadas (DeFi)
    • NFTs y Economía de Creadores
    • Seguridad Blockchain
    • Ecosistemas Blockchain Alternativos (No-EVM)
    • Producto, Marketing y Legal en Web3
  • Recursos Humanos
    • Fundamentos y Cultura Organizacional en RRHH
    • Atracción y Selección de Talento
    • Cultura y Employee Experience
    • Gestión y Desarrollo de Talento
    • Desarrollo y Evaluación de Liderazgo
    • Diversidad, Equidad e Inclusión
    • AI y Automatización en Recursos Humanos
    • Tecnología y Automatización en RRHH
  • Finanzas e Inversiones
    • Fundamentos de Finanzas Personales y Corporativas
    • Análisis y Valoración Financiera
    • Inversión y Mercados de Capitales
    • Finanzas Descentralizadas (DeFi) y Criptoactivos
    • Finanzas y Estrategia para Startups
    • Inteligencia Artificial Aplicada a Finanzas
    • Domina Excel
    • Financial Analyst
    • Conseguir trabajo en Finanzas e Inversiones
  • Startups
    • Fundamentos y Validación de Ideas
    • Estrategia de Negocio y Product-Market Fit
    • Desarrollo de Producto y Operaciones Lean
    • Finanzas, Legal y Fundraising
    • Marketing, Ventas y Growth para Startups
    • Cultura, Talento y Liderazgo
    • Finanzas y Operaciones en Ecommerce
    • Startups Web3 y Blockchain
    • Startups con Impacto Social
    • Expansión y Ecosistema Startup
  • Cloud Computing y DevOps
    • Fundamentos de Cloud y DevOps
    • Administración de Servidores Linux
    • Contenerización y Orquestación
    • Infraestructura como Código (IaC) y CI/CD
    • Amazon Web Services
    • Microsoft Azure
    • Serverless y Observabilidad
    • Certificaciones Cloud (Preparación)
    • Plataforma Cloud GCP

Platzi y comunidad

  • Platzi Business
  • Live Classes
  • Lanzamientos
  • Executive Program
  • Trabaja con nosotros
  • Podcast

Recursos

  • Manual de Marca

Soporte

  • Preguntas Frecuentes
  • Contáctanos

Legal

  • Términos y Condiciones
  • Privacidad
  • Tyc promociones
Reconocimientos
Reconocimientos
Logo reconocimientoTop 40 Mejores EdTech del mundo · 2024
Logo reconocimientoPrimera Startup Latina admitida en YC · 2014
Logo reconocimientoPrimera Startup EdTech · 2018
Logo reconocimientoCEO Ganador Medalla por la Educación T4 & HP · 2024
Logo reconocimientoCEO Mejor Emprendedor del año · 2024
De LATAM conpara el mundo
YoutubeInstagramLinkedInTikTokFacebookX (Twitter)Threads

      Comentarios

        Antonio Demarco Bonino

        Antonio Demarco Bonino

        student•
        hace 4 años

        La clase esta genial y da en el clavo. Me puse a investigar un poco más en el tema y llegue a este otro vídeo que también aporta buena data: https://www.youtube.com/watch?v=5TcA5M5z4sA&ab_channel=AprendeIAconLigdiGonzalez

          Augusto Mas

          Augusto Mas

          student•
          hace 4 años

          Los videos de Ligdi Gonzalez son geniales!! Ella explica muy bien y claro también!! Sería bueno tenerla como profe en Platzi!

          Juan R. Vergara M.

          Juan R. Vergara M.

          student•
          hace 4 años

          He visto varios videos de ella, es muy buena en el tema.

        María Eugenia Pereira Chévez

        María Eugenia Pereira Chévez

        student•
        hace 4 años

        Graficando la tabla

        x= np.array([1.2,2,3.2,2.5,5,6,4,8]) y= np.array([2,3,3.4,3.1,4,4.7,3.8,7]) fig, ax = plt.subplots() plt.scatter(x,y, color = 'lightcoral', alpha=0.6) ax.set_xlabel('x',fontsize=16) ax.set_ylabel('y',fontsize=16) plt.show()
        GUSTAVO GALVIS

        GUSTAVO GALVIS

        student•
        hace 4 años

        La regresión lineal permite explicar la relación de una variable dependiente (y), con respecto a otras variables independiente (x), en el caso del ejemplo: gasto en publicidad vs ventas. Permite explicar como se afecta la variable dependiente por los cambios que tenga la variable independiente. Para su representación se utilizan gráficos de dispersión e histogramas.

        Jeisson Espinosa

        Jeisson Espinosa

        student•
        hace 4 años

        Información resumida de esta clase #EstudiantesDePlatzi

        • Debemos tener la habilidad de modelar funciones, es decir, tener un problema y entender que función debemos usar para generalizar un proceso

        • Los científicos de datos somos bastante inteligentes y brillantes

        • Para medir que tan eficiente es nuestro modelo predictivo, utilizamos otro tipo de funciones llamadas funciones de error

        Arelys Viloria

        Arelys Viloria

        student•
        hace 3 años

        Video para complementar la clase, yo lo vería antes de ver esta clase (esto es un link)
        .

        Regresión Lineal Simple📝💚 :



        La regresión lineal es un modelo matemático que describe la relación entre varias variables. La representación gráfica de la regresión lineal simple es un gráfico de dispersión. Los modelos de regresión lineal son un procedimiento estadístico que ayuda a predecir el futuro. Se utiliza en los campos científicos y en los negocios, y en las últimas décadas se ha utilizado en el aprendizaje automático. Aunque La regresión lineal no sólo se utiliza con fines de predicción: también ha demostrado su eficacia para describir sistemas.
        La tarea de la regresión en el aprendizaje automático consiste en predecir un parámetro (Y) a partir de un parámetro conocido X.

        Captura de pantalla 2023-10-26 142827.png

        En una regresión lineal simple, se trata de establecer una relación entre una variable independiente y su correspondiente variable dependiente. Esta relación se expresa como una línea recta. No es posible trazar una línea recta que pase por todos los puntos de un gráfico si estos se encuentran ordenados de manera caótica. Por lo tanto, sólo se determina la ubicación óptima de esta línea mediante una regresión lineal. Algunos puntos seguirán distanciados de la recta, pero esta distancia debe ser mínima. El cálculo de la distancia mínima de la recta a cada punto se denomina función de pérdida.
        Hay dos ecuaciones que representan la regresión lineal (de forma independiente):

        Y = β₀ + β₁X + ε

        donde:

        • Y es la variable dependiente.

        • X es la variable independiente.

        • β₀ es el coeficiente de sesgo o la intersección de la línea de regresión con el eje Y cuando X es igual a cero.

        • β₁ es el coeficiente de la variable X, que representa la pendiente de la línea de regresión.

        • ε es el término de error o el error residual. .

          Y = mx + b

        Donde:

        • y es la variable dependiente.
        • x es la variable independiente.
        • m es el coeficiente de la variable x, que representa la pendiente de la línea de regresión.
        • b es el coeficiente de sesgo o la intersección de la línea de regresión con el eje y cuando x es igual a cero.
          .

        El término de error residual, ε, el cual solo aparece en al primera ecuación, que representa la discrepancia entre los valores reales de Y y los valores predichos por el modelo de regresión, no se incluye directamente en esta ecuación. Sin embargo, el error residual está implícitamente presente en la diferencia entre los valores reales de Y y los valores predichos por la ecuación "Y = mx + b".

        Alejandro Toledo Cuenca

        Alejandro Toledo Cuenca

        student•
        hace 3 años

        Los videos de este tema del canal dot csv son geniales

        Jhon Freddy Tavera Blandon

        Jhon Freddy Tavera Blandon

        student•
        hace 4 años
        • Llamaremos modelo de regresión lineal simple a un modelo en donde se liga a dos variables y a un término de perturbación aleatoria mediante una relación lineal. De forma genérica, el modelo de regresión simple es de la forma
        Y t=a+b* X t+ut
        • En donde t toma valores desde t={1,2,3,...,T}, Yt es la variable que queremos explicar, y que llamaremos variable endógena, Xt es una variable genérica, que denominaremos variable exógena y es la encargada de explicar el comportamiento de la variable endógena, a y ß son los parámetros del modelo y ut es la perturbación aleatoria del modelo. A la expresión (2) se le denomina recta de regresión poblacional

        • En consecuencia, el volumen de datos con los que vamos a trabajar viene dado por los datos correspondientes a las variables Yt y Xt cuya representación gráfica se puede realizar mediante en diagrama de dispersión.

        Erick Garcia

        Erick Garcia

        student•
        hace 2 años

        a primeras con lo que entendi trate de hacer uno para encontrar la mas optima con base a un rango de error aceptable o n interaciones

        les dejo el codigo

        import random import matplotlib.pyplot as plt import numpy as np x = np.array([1.2, 2, 3.2, 2.5, 5, 6, 4, 8]) y = np.array([2, 3, 3.4, 3.1, 4, 4.7, 3.8, 7]) m = 1 b = 1 valid_err = 1.5 err_ant = 1000 best = [m, b] def f(x): return m*x + b def error(y_hat): return np.sum((y - y_hat)**2) n = 100 for i in range(n): y_hat = f(x) err = error(y_hat) print(f"b: {round(b, 2)} m: {round(m, 2)} error: {round(err, 2)}") if err < err_ant: best = [m, b] else: m = best[0] + random.uniform(-0.1, 0.1) b = best[1] + random.uniform(-0.1, 0.1) err_ant = err if err < valid_err: print("r: ", round(m, 2), round(b, 2)) break m, b = best y_hat = f(x) err = error(y_hat) print(f"b: {round(b, 2)} m: {round(m, 2)} error: {round(err, 2)}") xo = x.copy() xo.sort() yo = f(xo) plt.scatter(x, y) plt.plot(xo, yo, color='red') plt.show()
        Juan Diego

        Juan Diego

        student•
        hace 8 meses

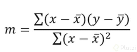
        para calcularl la pendiente de la ecuación de la recta en un modelo de regresión lineal se calcula como la relación entre la covariancia de las variables y la varianza de la variable independiente. Esto se explica mejor en otras clases del curso se Estadistica descrptiva para Data Science de Platzi (muy recomendado).

        Michael Martinez

        Michael Martinez

        student•
        hace 8 meses

        La regresión lineal es un método estadístico que se utiliza para modelar la relación entre una variable dependiente y una o más variables independientes. Se basa en la suposición de que esta relación es lineal, lo que significa que se puede representar mediante una línea recta en un gráfico. Este método se utiliza comúnmente en ciencia de datos para hacer predicciones y análisis, siendo fundamental para entender cómo cambian las variables en función de otras. En el contexto de la clase, se aprenderá a calcular y evaluar la regresión lineal aplicando herramientas matemáticas y estadísticas.

        miguel cossio quispe

        miguel cossio quispe

        student•
        hace 3 años

        en el ejemplo no sería mejor usar una function polinómica?

          Eduardo Monzón

          Eduardo Monzón

          student•
          hace 3 años

          El tipo de función presentada, la función lineal, es polinómica. Ahora, si te refieres a usar una función polinómica más compleja para que el error sea menor, entiendo que es algo más avanzado y se requiere primero comprender la regresión lineal simple.

          SANTIAGO GALVIS DUQUE

          SANTIAGO GALVIS DUQUE

          student•
          hace 3 años

          Sí y no. Cuando queremos una curva que literalmente pase por todos los puntos se llama Interpolación. Cumple con su tarea, pero no siempre nos permite predecir cómo se seguirán comportando los datos, o tan siquiera entre dos puntos que ya tenemos. En el contexto de Machine Learning a esto se le denomina Overfitting. Para este punto, el utilizar una línea recta cumple con todo lo que estamos buscando.

        Isaac Bryan Ascanoa Roncall

        Isaac Bryan Ascanoa Roncall

        student•
        hace 2 años

        Que curioso el uso de regresion lineal. Sera interesante usarlo con datos reales y ver el margen de error.

        Luis Alberto Ramírez Castellanos

        Luis Alberto Ramírez Castellanos

        student•
        hace 3 años

        Que buena explicacion introductoria a la regresion lineal.