Ecuaciones Diferenciales Exactas: Condiciones y Solución Paso a Paso
Clase 11 de 50 • Curso de Ecuaciones Diferenciales
Contenido del curso
Fundamentos de Ecuaciones Diferenciales
Ecuaciones Diferenciales de Primer Orden
- 6

Ecuaciones Diferenciales de Primer Orden: Método de Separación de Variables
06:57 min - 7

Resolución de Ecuaciones Diferenciales Separable por Variables
07:16 min - 8

Comprobación de Ecuaciones Diferenciales Separables
07:15 min - 9

Método de Sustitución Lineal en Ecuaciones Diferenciales
07:19 min - 10

Método de Sustitución Lineal en Ecuaciones Diferenciales
07:28 min - 11

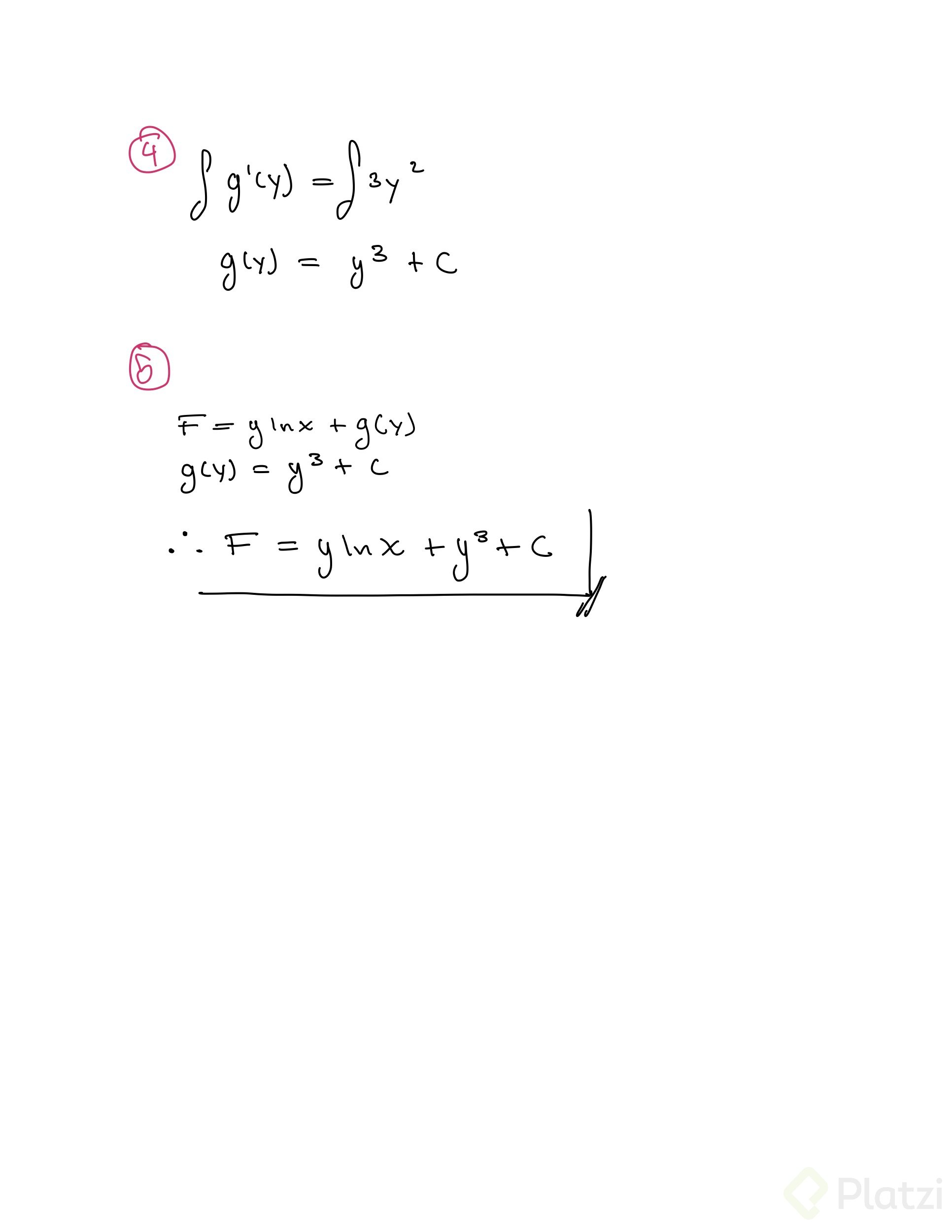
Ecuaciones Diferenciales Exactas: Condiciones y Solución Paso a Paso
Viendo ahora - 12

Ecuaciones Diferenciales Exactas: Solución Paso a Paso
09:57 min - 13

Funciones Homogéneas y Métodos de Verificación
06:14 min - 14

Resolución de Ecuaciones Diferenciales Homogéneas
09:34 min - 15

Resolución de Ecuaciones Diferenciales con Coeficientes Lineales
03:02 min - 16

Resolución de Ecuaciones Diferenciales Lineales de Primer Orden
18:22 min - 17

Solución de Ecuaciones Diferenciales Separable paso a paso
10:20 min - 18

Factor Integrante para Ecuaciones Diferenciales Exactas
04:50 min - 19

Factor Integrante en Ecuaciones Diferenciales Exactas
14:36 min - 20

Resolución de Ecuaciones Diferenciales con Factor Integrante Caso 2
16:34 min - 21

Resolución de Ecuaciones Diferenciales con Factor Integrante
16:30 min - 22

Identificación y Solución de Ecuaciones Diferenciales Lineales
06:45 min - 23

Solución de Ecuaciones Diferenciales Lineales con Factor Integrante
07:28 min - 24

Métodos de Solución de Ecuaciones Diferenciales
00:19 min
Ecuaciones Diferenciales de Segundo Orden
- 25

Ecuaciones Diferenciales de Segundo Orden: Soluciones Independientes
08:19 min - 26

Ecuaciones Diferenciales Lineales Homogéneas con Coeficientes Constantes
06:23 min - 27

Ecuaciones Diferenciales Homogéneas de Segundo Orden
11:02 min - 28

Ecuaciones Diferenciales: Soluciones con Raíces Complejas
06:53 min - 29

Solución de Ecuaciones Diferenciales de Segundo Orden con Raíces Complejas
07:33 min - 30

Método de Coeficientes Indeterminados en Ecuaciones Diferenciales
04:44 min - 31

Solución de Ecuaciones Diferenciales No Homogéneas: Coeficientes Indeterminados
09:19 min - 32

Método de Coeficientes Indeterminados en Ecuaciones Diferenciales
16:27 min - 33

Método de Variación de Parámetros para Ecuaciones Diferenciales
08:20 min - 34

Métodos para Resolver Ecuaciones Diferenciales de Segundo Orden
13:16 min - 35

Resolución de ecuaciones con coeficientes indeterminados
00:12 min
Modelos matemáticos
- 36

Modelos Matemáticos con Ecuaciones Diferenciales
11:44 min - 37

Modelos Matemáticos de Crecimiento Poblacional
10:06 min - 38

Ecuaciones Diferenciales: Modelos de Crecimiento Poblacional
09:20 min - 39

Modelos de Crecimiento Poblacional en Blockchain con Ecuaciones Diferenciales
09:45 min - 40

Ley de Enfriamiento de Newton: Modelado y Solución de Ecuaciones Diferenciales
07:08 min - 41

Cálculo de Temperatura Inicial usando Ley de Enfriamiento de Newton
10:08 min - 42

Modelado de Propagación Viral con Ecuaciones Diferenciales
12:41 min - 43

Cálculo de Interés Compuesto Continuo y Crecimiento Exponencial
01:29 min
Transformada de laplace
- 44

Integrales Parciales Definidas e Impropias: Fundamentos Esenciales
08:09 min - 45

Transformada de Laplace: Concepto y Cálculo Básico
09:46 min - 46

Transformada de Laplace de Funciones Exponenciales
05:51 min - 47

Propiedades de la Transformada de Laplace
11:19 min - 48

Transformada Inversa de Laplace: Propiedades y Uso de Tablas
04:57 min - 49

Transformada Inversa de Laplace: Ejemplo Práctico
07:22 min - 50

Transformada de Laplace: Cálculo y Ejercicios Prácticos
00:32 min